ГДЗ по математике 6 класс Виленкин, Жохов задание №374

На этой странице представлено подробное решение номера 374 из сборника ГДЗ к учебнику по математике 6 класс авторов Виленкин, Жохов, Чесноков, Шварцбурд.

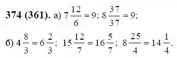
Решение №374

ГДЗ по математике 6 класс Виленкин, Жохов задание №374

Беликова Ирина

Учитель физики, информатики и вычислительной техники. Победитель конкурса лучших учителей Российской Федерации в рамках Приоритетного Национального Проекта "Образование".

Оцените автора
Добавить комментарий