ГДЗ по математике 6 класс Никольский, Потапов задание №623

На этой странице представлено подробное решение номера 623 из сборника ГДЗ к учебнику по математике 6 класс авторов Никольский, Потапов, Решетников, Шевкин.

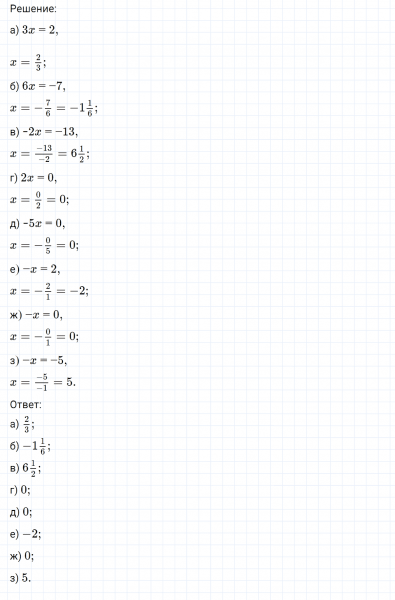
Решение №623

ГДЗ по математике 6 класс Никольский, Потапов задание №623

Беликова Ирина

Учитель физики, информатики и вычислительной техники. Победитель конкурса лучших учителей Российской Федерации в рамках Приоритетного Национального Проекта "Образование".

Оцените автора
Добавить комментарий