ГДЗ по математике 4 класс Моро, Бантова часть 1 номер 385

На этой странице представлено подробное решение задания номер 385 из сборника ГДЗ к учебнику часть 1 по математике 4 класс авторов Моро, Бантова, Бельтюкова, Волкова, Степанова.

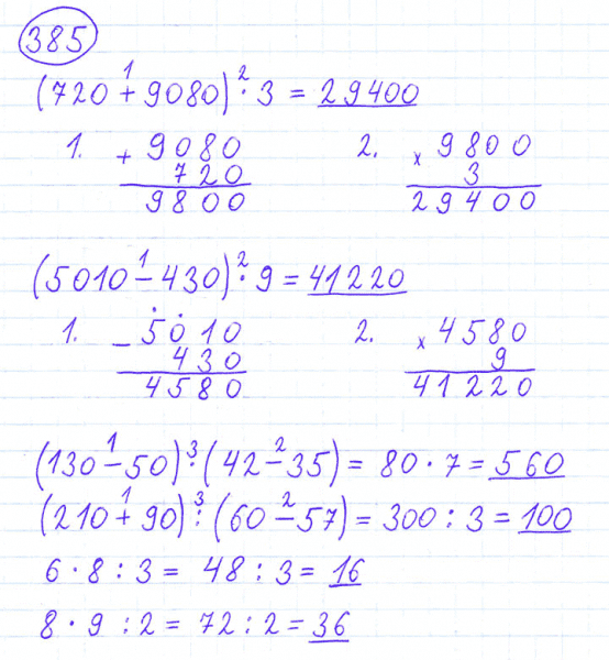
Часть 1 задание 385

ГДЗ по математике 4 класс Моро, Бантова часть 1 номер 385

Беликова Ирина

Учитель физики, информатики и вычислительной техники. Победитель конкурса лучших учителей Российской Федерации в рамках Приоритетного Национального Проекта "Образование".

Оцените автора
Добавить комментарий