Урок 22. Закон сохранения

В уроке 22 «Закон сохранения» из курса «Химия для чайников» рассмотрим соотношение Эйнштейна и открытие электростатического заряда. Кроме того ответим на вопрос: почему ученые, которые по всей видимости, интересуются изменениями, происходящими с материей, уделяют столько внимания поиску законов сохранения, указывающих нам, что неизменно в природе?

Урок 22. Закон сохранения

Настоящая наука начинается тогда, когда мы понимаем, каковы ограничения произвольных изменений. Камень, брошенный вверх, не поднимется сколь-угодно высоко; в конце концов он начинает падать, поскольку имеет ограниченную кинетическую энергию. Автомобилю не хватает навсегда бака бензина из-за ограниченной химической энергии этого горючего. Химический завод не может выпускать больше продуктов, чем он получает сырья, так как должен выполняться закон сохранения массы. Пытаясь понять изменения, происходящие в природе, мы стараемся найти пределы, которыми предположительно ограничены эти изменения. Тогда можно предвидеть предстоящие изменения и извлечь пользу из этих сведений. Если вас настигает поезд, это менее опасно, чем преследование рассерженного автомобилиста, так как можно понять ограничения движения поезда и использовать эти знания, чтобы убраться с его пути.

Соотношение Эйнштейна

Первыми двумя законами сохранения, установленными в науке, были закон сохранения массы и энергии. В физических законах движения, кроме того, часто используется закон сохранения импульса (количества движения). В ядерных реакциях может происходить взаимопревращение массы и энергии, но их сумма обязательно должна сохраняться. Ядерная энергия получается только за счет исчезновения массы; соотношение между массой и энергией было установлено Эйнштейном и носит его имя. Согласно соотношению Эйнштейна:

Урок 22. Закон сохранения

где E — энергия, m — соответствующая ей масса, а c — скорость света.

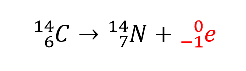
В ядерных реакциях также происходит сохранение заряда. Когда ядро изотопа углерода-14 распадается с образованием ядра азота-14, это сопровождается испусканием электрона (происходит так называемый бета-распад)

Урок 22. Закон сохранения

Здесь верхние индексы указывают массовое число, или полное число тяжелых частиц (протонов и нейтронов) в ядре, а это число одинаково в изотопах углерода-14 и азота-14. Приведенная реакция дает пример сохранения тяжелых частиц, связанный с законом сохранения массы. Нижние индексы определяют заряд частицы, который мог увеличиться от +6 до +7 только за счет того, что в окружающую среду был испущен отрицательный заряд. Этот заряд -1 несет электрон, испускаемый при бета-распаде. Полный заряд в результате реакции сохраняется.

В ядерных реакциях и реакциях между элементарными частицами происходит точное или почти точное сохранение даже таких мало известных свойств, как четность, странность и «шарм» (привлекательность). Эти свойства представляются довольно таинственными, поскольку мы ничего не слышали о них раньше, прежде чем узнали о необходимости их сохранения. Масса и энергия были известны задолго до того, как были обнаружены законы их сохранения. Но кто когда-нибудь слышал о «шарме» элементарных частиц, прежде чем был провозглашен закон его сохранения? Вопреки обычной логике последовательности сначала было замечено, что элементарные частицы поддаются распределению на классы, причем для каждого класса могут быть установлены строгие правила взаимодействия между принадлежащими к нему частицами, а затем было открыто новое свойство, при сохранении которого в реакциях между частицами удается предсказать их наблюдаемое поведение.

Открытие электростатического заряда

Впрочем, эта ситуация не слишком сильно отличается от того, как был в свое время открыт электростатический заряд (см. рис). В XVIII веке экспериментаторы наблюдали, что при энергетичном трении стеклянной палочки о шелк на ней накапливается заряд (а), который можно частично передать легкому пластмассовому шарику, висящему на нити (в). После того как шарик получал заряд от стеклянной палочки, он отталкивался от нее (г). Но, кроме того, было обнаружено, что при натирании эбонитового стержня шерстью (б) этот стержень притягивает легкий шарик из бузины (д), предварительно наэлектризованный прикосновением натертой о шелк стеклянной палочки. Чтобы объяснить наблюдаемые явления, ученые предположили существование двух различных типов заряда, а также наличие сил притяжения между зарядами разных типов и сил отталкивания между зарядами одного типа. Бенжамин Франклин стал называть заряды этих двух типов положительными и отрицательными. Заряд во времена Франклина был не менее таинственным свойством, чем «шарм» или «странность» в наши дни.

Урок 22. Закон сохранения

Из урока 22 «Закон сохранения» вы должны извлечь одну важную мысль, что в основе всех законов сохранения лежит общая идея: когда нам известно, чего не может произойти, мы может лучше предсказать, что будет происходить. Для химиков наиболее важными являются законы сохранения массы и энергии, и все расчеты, приведенные в данной главе, основаны на применении следствий этих законов. Остались вопросы, пишите их в комментарии. Если вопросов нет, то переходите к заключению главы «Законы сохранения массы и энергии».

Беликова Ирина

Учитель физики, информатики и вычислительной техники. Победитель конкурса лучших учителей Российской Федерации в рамках Приоритетного Национального Проекта "Образование".

Оцените автора
Добавить комментарий