Спирты — классификация, применение, формулы

Спирты относятся к органическим соединениям, содержащим гидрокси-(гидроксильной) группы (ОН). Это важный класс кислородсодержащих соединений, нашедший широкое применение в химической, пищевой, косметической промышленности. В статье вы найдете информацию об основных физических и химических свойствах, способах получения спиртов и об особенностях указанных соединений.

Классификация спиртов

Соединения с гидроксильными группами имеют несколько вариантов классификаций:

  • В зависимости от количества функциональных групп в молекуле различают: одно- и многоатомные спирты (алкоголи и гликоли):

Спирты — классификация, применение, формулы

  • Алкоголи, в свою очередь, подразделяются на первичные, вторичные, третичные.

Спирты — классификация, применение, формулы

  • В зависимости от строения углеводородного радикала различают алифатические и ароматические спирты, предельные и непредельные соединения.

Спирты — классификация, применение, формулы

Спирты — классификация, применение, формулы

Номенклатура спиртов

В зависимости от названия окружающих радикалов и строения молекул, данный класс соединений можно назвать, используя несколько вариантов номенклатур:

  • Тривиальная. Например:

Спирты — классификация, применение, формулы

  • Систематическая (основана на выборе углеродной цепи и характеристике радикала. Для одноатомных спиртов указывается суффикс -ол; для многоатомных -диол, триол и т.д.).

Спирты — классификация, применение, формулы

  • Рациональная (применяется для относительно простых соединений данного класса. Называется полностью радикал, связанный с группой ОН).

Спирты — классификация, применение, формулы

  • Карбинольная (устаревшая номенклатура, в основе которой фигурирует название карбинол).

Спирты — классификация, применение, формулы

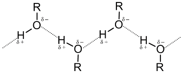
Физические свойства

Низкомолекулярные спирты представляют собой бесцветные жидкости с резкими характерными запахами, кипящими при более высоких температурах, чем другие классы органических соединений. Это объясняется наличием в молекуле особого вида взаимодействия — водородных связей.

Спирты — классификация, применение, формулы

Важно! Влияние гидроксигруппы на физические свойства зависит от строения радикала и молекулярной массы. С увеличением молекулярной массы гидроксисоединения его растворимость в воде падает.

Химические свойства

Из-за особенностей строения гидроксильной группы указанные соединения проявляют амфотерные свойства (основные и кислотные):

  • Кислотные свойства выражаются в способности отщепления протона гидроксигруппы. С возрастанием длины углеводородной цепи, объема радикала, степени разветвления и наличия в молекуле доноров — кислотность падает. Точную характеристику кислотных свойств выражает рКа (справочная величина). Чем меньше данный показатель, тем кислотные свойства выше (табл.1).

Таблица 1. Показатели рКа для спиртов

Спирты — классификация, применение, формулы

  • Основные свойства выражаются в возможности присоединять протон, они обратно пропорциональны кислотности.

Алкоголи и гликоли вступают в следующие реакции — замещения, отщепления и окисления:

  • Реакции замещения протекают с образованием солей (алкоголятов и гликолятов металлов), сложных эфиров (этерификация с минеральными и карбоновыми кислотами), галогенопроизводных (гидрогалогенирование).

Спирты — классификация, применение, формулы

  • Реакции отщепления протекают по внутримолекулярному и межмолекулярному типу с отщеплением воды и получением алкенов и простых эфиров.

Спирты — классификация, применение, формулы

  • При окислении данного класса соединений образуются оксосоединения (альдегиды и кетоны).

Спирты — классификация, применение, формулы

Получение

Одноатомные спирты получают из алкенов, оксосоединений, сложных эфиров карбоновых кислот, галогенопроизводных.

Спирты — классификация, применение, формулы

Этанол получают брожением сахаристых веществ.

Спирты — классификация, применение, формулы

Многоатомные спирты получают из оксосоединений, алкенов, сложных эфиров многоосновных кислот.

Спирты — классификация, применение, формулы

Одним из способов получения глицерина является омыление, гидролиз в кислой среде триацилглицеринов — основновных компонентов липидной фракции жиров и растительных масел.

Спирты — классификация, применение, формулы

Применение

Этанол широко используется в пищевой промышленности, в производстве алкогольных напитков различной крепости. В целом спирты используются, как растворители, и в качестве исходных соединений для синтеза простых и сложных эфиров. Ознакомившись со статьей, вы получили представление о свойствах и строении спиртов, об их необходимости соединений в различных отраслях промышленности. Еще несколько интересных фактов вы найдете в видео.

Беликова Ирина

Учитель физики, информатики и вычислительной техники. Победитель конкурса лучших учителей Российской Федерации в рамках Приоритетного Национального Проекта "Образование".

Оцените автора
Добавить комментарий