Химия — наука о веществах, закономерностях их превращений (физических и химических свойствах) и применении. В настоящее время известно более 100 тыс. неорганических и более 4 млн. органических соединений.Химические явления: одни вещества превращаются в другие, отличающиеся от исходных составом и свойствами, при этом состав ядер атомов не изменяется. Физические явления: меняется физическое состояние веществ (парообразование, плавление, электропроводность, выделение тепла и света, ковкость и др.) или образуются новые вещества с изменением состава ядер атомов.
Основные понятия химии
Атом — мельчайшая, химически неделимая, электронейтральная частица вещества. Состоит из ядра и электронной оболочки.
Каждый атом принадлежит определённому химическому элементуw. Элемент имеет название, порядковый номер, и положение в периодической таблице Менделеева. В настоящее время известно 118 химических элементов, заканчивая Uuo (Ununoctium — унуноктий). Каждый элемент обозначен символом, который представляет одну или две буквы из его латинского названия (водородw обозначен буквой H — первой буквой его латинского названия Hydrogenium).
Атомно — молекулярное учение.
1 Все вещества состоят из молекул. Молекула — наименьшая частица вещества, обладающая его химическими свойствами.
2 Молекулы состоят из атомов. Атом — наименьшая частица химического элемента, сохраняющая все его химические свойства. Различным элементам соответствуют различные атомы. 3 Молекулы и атомы находятся в непрерывном движении; между ними существуют силы притяжения и отталкивания
Вещество — вид материи с определёнными химическими и физическими свойствами. Совокупность атомов, атомных частиц или молекул, находящаяся в определённом агрегатном состоянии. Из веществ состоят физические тела (медь — вещество, а медная монета — физическое тело).
Валентность — количество химических связей, которое образует один атом.
Молекула — наименьшая частица вещества, сохраняющая его химические свойства. Состоит из атомов.
Свойства — совокупность признаков по которым одни вещества отличаются от других, они бывают химическими и физическими.
Физические свойства — признаки вещества, при характеристике которых вещество не изменяет свой химический состав (плотность, агрегатное состояние, температуры плавления и кипения и т. п.)
Химические свойства — способность веществ взаимодействовать с другими веществами или изменяться под действием определённых условий. Результатом является превращение одного вещества или веществ в другие вещества.
Агрегатные состояния а веществ— состояние вещества, характеризующееся определенными свойствами (способность сохранять форму, объем). Выделяют три основных агрегатных состояния: твёрдое тело, жидкость и газ. Иногда не совсем корректно к агрегатным состояниям причисляют плазмуw. Существуют и другие агрегатные состояния, например, жидкие кристаллыw или конденсат Бозе — Эйнштейнаw.
Моль — мера количества вещества, содержащая Число Авогадроw (NA ≈ 6,02 × 1023) любых структурных частиц. (NA — количество атомов в 12 граммах углерода 12Cw.)
Периодический закон — фундаментальный закон природы, открытый Д. И. Менделеевым в 1869 году при сопоставлении свойств известных в то время химических элементов и величин их атомных масс. В настоящее время Периодический закон Д. И. Менделеева имеет следующую формулировку: «свойства химических элементов, а также формы и свойства образуемых ими простых веществ и соединений находятся в периодической зависимости от величины зарядов ядер их атомов». Особенность Периодического закона среди других фундаментальных законов заключается в том, что он не имеет выражения в виде математического уравнения. Графическим (табличным) выражением закона является Периодическая система химических элементовw, первоначальный вариант которой был разработан Д. И. Менделеевым в 1869—1871 годах.
Простое вещество — вещество, состоящее из атомов одного химического элемента: водород, кислород и т. д.
Сложное вещество — вещество, состоящее из атомов разных химических элементов: кислоты, вода и др.
Относительная атомная масса — масса (а. е. м.) 6,02 × 1023 молекул простого вещества, где а. е. м. — атомная единица массыw.
Относительная молекулярная масса — масса (а. е. м.) 6,02 × 1023 молекул сложного вещества. Численно равна молярной массе, но отличается размерностью.
Химическая связь — это взаимодействие атомов, обуславливающее устойчивость молекулы или кристаллаw как целого. Химическая связь определяется взаимодействием между заряженными частицамиw (ядрамиw и электронамиw).
Полимеры — высокомолекулярные соединения, молекулы которых состоят из повторяющихся фрагментов (структурных звеньев).
Степень полимеризации — число структурных звеньев, входящих в состав макромолекулы.
Гомополимеры — полимеры, образованные из одинаковых по составу и строению мономеровw.
Мономер — низкомолекулярное вещество, образующее полимер в реакции полимеризацииw.
Сополимеры — полимеры, образованные из двух и более мономеров.
Сополимеризация — реакция полимеризации с участием двух или более различных мономеров.
Электрохимия — раздел химической науки, в котором рассматриваются системы и межфазные границы при протекании через них электрического тока, исследуются процессы в проводниках, на электродах (из металлов или полупроводников, включая графит) и в ионных проводниках (электролитах). Электрохимия исследует процессы окисления и восстановления, протекающие на пространственно-разделённых электродах, перенос ионов и электронов.
Электродный потенциал — разность электрических потенциалов между электродом и находящимся с ним в контакте электролитом.
Электролитическая диссоциация — процесс распада электролита на ионы при его растворении или плавлении.
Электролит — вещество, которое проводит электрический ток вследствие диссоциации на ионы, что происходит в растворах и расплавах, или движения ионов в кристаллических решётках твёрдых электролитов.
Электролиз — физико-химический процесс, состоящий в выделении на электродах составных частей растворённых веществ или других веществ, являющихся результатом вторичных реакций на электродах, который возникает при прохождении электрического тока через раствор, либо расплав электролита.
Гомологический ряд — ряд химических соединений одного структурного типа (например, алканы или алифатические спирты — спирты жирного ряда), отличающихся друг от друга по составу на определенное число повторяющихся структурных единиц — так называемую «гомологическую разность».
Изомерия — явление, заключающееся в существовании химических соединений (изомеров), одинаковых по составу и молекулярной массе, но различающихся по строению или расположению атомов в пространстве и, вследствие этого, по свойствам.
Изомеры — соединения, обладающие одинаковым элементарным составом, но различным химическим строением.
Химическое равновесие — это такое состояние системы, когда скорость прямой реакции равна скорости обратной реакции.
Тепловой эффект реакции — это теплота, которая выделяется или поглощается системой при течении в ней химической реакции. В зависимости от того, происходит реакция с выделением теплоты или сопровождается поглощением теплоты, различают экзо-и эндотермические реакции. К первым, как правило, относятся все реакции соединения, а ко вторым — реакции разложения.[1]
Катализатор — это вещество, которое изменяет скорость химической реакции, но количественно при этом не расходуется и в состав продуктов не входит.
Скорость химической реакции — изменение количества одного из реагирующих веществ за единицу времени в единице реакционного пространства.
Термохимия — раздел химической термодинамики, в задачу которой входит определение и изучение тепловых эффектов реакций, а также установление их взаимосвязей с различными физико-химическими параметрами. Ещё одной из задач термохимии является измерение теплоёмкостей веществ и установление их теплот фазовых переходов.
Теплота — количественная мера хаотичного движения частиц данной системы, при этом не происходит переноса вещества от одной системы к другой.
Тепловой эффект — выделение или поглощение тепловой энергии системой при протекании в ней химической реакции, при условии, что система не совершает никакой другой работы кроме работы расширения.
Внутренняя энергия системы — суммарная энергия внутренней системы, включающая энергию взаимодействия и движения молекул, атомов, ядер, электронов в атомах, внутриядерную и другие виды энергии, кроме кинетической и потенциальной энергии системы, как целого.
Энтальпия — это энергия расширенной системы (термодинамическая функция, характеризующая систему, находящуюся при постоянном давлении).
Стандартная энтальпия (теплота) образования сложного вещества — тепловой эффект реакции образования 1 моля этого вещества из простых веществ, находящихся в устойчивом агрегатном состоянии при стандартных условиях (= 298 К и давлении 101 кПа).
Гомогенная система — однородная система, химический состав и физические свойства которой во всех частях одинаковы или меняются непрерывно, без скачков (между частями системы нет поверхностей раздела). В гомогенной системе из двух и более химических компонентов каждый компонент распределен в массе другого в виде молекул, атомов, ионов. Составные части гомогенной системы нельзя отделить друг от друга механическим путем.
Гетерогенная система — неоднородная система, состоящая из однородных частей (фаз), разделённых поверхностью раздела. Однородные части (фазы) могут отличаться друг от друга по составу и свойствам.
Скорость гомогенной реакции — количество вещества, вступающего в реакцию или образующегося при реакции за единицу времени в единице объема системы.
Скорость гетерогенной реакции — количество вещества, вступающего в реакцию или образующегося при реакции за единицу времени на единице площади поверхности фазы.[
Термодинамика — раздел науки, изучающий соотношения и превращения теплоты и других форм энергии. Термодинамика — это феноменологическая наука, опирающаяся на обобщения опытных фактов. Она изучает макроскопические системы, состоящие из огромного числа частиц — термодинамические системы.
Термодинамическая система — некая физическая система, состоящая из большого количества частиц, способная обмениваться с окружающей средой энергией и веществом. Также обычно полагается, что такая система подчиняется статистическим закономерностям.
Первый закон термодинамики — для изолированной системы (для которой исключен любой материальный или энергетический обмен с окружающей средой) внутренняя энергия постоянна.
Химический элемент — это вид атомов, характеризующийся определенными зарядами ядер и строением электронных оболочек. В настоящее время известно 110 элементов: 89 из них найдены в природе (на Земле), остальные получены искусственным путем. Атомы существуют в свободном состоянии, в соединениях с атомами того же или других элементов, образуя молекулы. Способность атомов вступать во взаимодействие с другими атомами и образовывать химические соединения определяется его строением. Атомы состоят из положительно заряженного ядра и отрицательно заряженных электронов, движущихся вокруг него, образуя электронейтральную систему, которая подчиняется законам, характерным для микросистем
Атомное ядро — центральная часть атома, состоящая из Z протонов и N нейтронов, в которой сосредоточена основная масса атомов. Заряд ядра — положительный, по величине равен количеству протонов в ядре или электронов в нейтральном атоме и совпадает с порядковым номером элемента в периодической системе. Сумма протонов и нейтронов атомного ядра называется массовым числом A = Z + N. Изотопы — химические элементы с одинаковыми зарядами ядер, но различными массовыми числами за счет разного числа нейтронов в ядре.
Заряд ядра — положительный, по величине равен количеству протонов в ядре или электронов в нейтральном атоме и совпадает с порядковым номером элемента в периодической системе. Сумма протонов и нейтронов атомного ядра называется массовым числом A = Z + N. Изотопы — химические элементы с одинаковыми зарядами ядер, но различными массовыми числами за счет разного числа нейтронов в ядре.
Химическая формула — это условная запись состава вещества с помощью химических знаков (предложены в 1814 г. Й. Берцелиусом) и индексов (индекс — цифра, стоящая справа внизу от символа. Обозначает число атомов в молекуле). Химическая формула показывает, атомы каких элементов и в каком отношении соединены между собой в молекуле.
Аллотропия — явление образования химическим элементом нескольких простых веществ, различающихся по строению и свойствам. Простые вещества- молекулы, состоят из атомов одного и того же элемента.
Cложные вещества — молекулы, состоят из атомов различных химических элементов.
Химическим эквивалентом вещества называется такое его количество, которое соединяется с 1 молем атомов водорода или замещает то же количество атомов водорода в химических реакциях. Масса 1 эквивалента вещества называется эквивалентной массой (mэкв).
Эквивалентную массу соединения можно определить по его химической формуле, например,
m экв(оксида) = М (оксида)/(число атомов кислорода*2);
m экв(основания) = М (основания)/число гидроксильных групп;
m экв(кислоты) = М кислоты/число протонов;
m экв(соли) = М соли /(число атомов металла*валентность металла).
Аналогично можно дать определение понятию эквивалентный объем.
Эквивалентный объем – это тот объем, который при данных условиях занимает 1 эквивалент вещества. Так как эквивалент водорода равен 1 моль, а в 22,4 л Н2 содержатся 2 эквивалента водорода; тогда эквивалентный объем водорода равен 22,4/2=11,2 л/моль, для О2 эквивалентный объем равен 5,6 л/моль.
Определить эквивалент вещества можно также по его соединению с другим веществом, эквивалент которого известен.
Определить молярную массу эквивалента (эквивалентную массу) можно исходя из закона эквивалентов, который гласит, что химические элементы соединяются между собой или замещают друг друга в количествах, пропорциональных их молярным массам эквивалентов:
m1/m2=Мэкв1/ Мэкв2, где
где m1 и m2 — массы реагирующих или образующихся веществ, m экв1 и m экв2 — эквивалентные массы этих веществ.
Ион — это заряженная частица, атом или молекула, которая имеет неодинаковое количество протонов и электронов. Если у частицы больше электронов, чем протонов, то она заряжена отрицательно и называется анион. Например — Cl−. Если в частице электронов меньше, чем протонов, значит, она заряжена положительно и называется катион. Например — Na+.
Радикал — это частица (атом или молекула), содержащая один или несколько неспаренных электронов. В большинстве случаев химическая связь образуется при участии двух электронов. Частица, имеющая неспаренный электрон, очень активна и легко образует связи с другими частицами. Поэтому время жизни радикала в среде, как правило, очень мало.
Основные законы химии
Закон сохранения массы веществ
Закон сохранения массы теоретически был описан в 1748 году, а экспериментально подтверждён в 1756 году русским ученым М.В. Ломоносовым. Ломоносов определил, что если сосуд с металлом взвесить до и после нагревания, не вскрывая его, то масса останется неизменной.
В 1789 году французский учёный Антуан Лавуазье подтвердил выводы Ломоносова.
Закон сохранения массы веществ формулируется так:
Масса веществ, вступивших в реакцию, равна массе продуктов реакции.
Атомно-молекулярное учение объясняет этот закон так: при химической реакции общее количество участвующих атомов не изменяется, а происходит лишь их перегруппировка. Так как число атомов до и после реакции не изменяется, то их общая масса тоже не изменяется.

Модель химической реакции
На основе закона сохранения массы веществ проводят количественный химический анализ.
Приведём пример. Составим химическое уравнение реакции разложения воды:
H2O → H2 + O2,
Число атомов кислорода слева от стрелки, т.е. до реакции, меньше в два раза, чем справа, т.е. после реакции. Для уравнивания количества веществ до и после реакции, нужно поставить коэффициент 2 перед формулой воды в левой части уравнения:
2H2O → H2 + O2
Ещё пример:
Ag + S → Ag2S
2Ag + S = Ag2S
Зная закон сохранения массы, можно сформулировать правила составления химических уравнений:
- Необходимо знать формулы веществ, вступивших в реакцию (реагентов) и формулы веществ, полученных в результате реакции (продукты реакции).
- Число атомов каждого элемента в левой части уравнения должно быть равно числу атомов этих же элементов в правой части уравнения. Для уравновешивания подбирают и расставляют перед формулами соответствующие коэффициенты.
- Левую и правую части уравнения нельзя менять местами.
- Нельзя переносить формулы веществ из одной части уравнения в другую.
Закон постоянства состава
Закон постоянства состава впервые сформулировал в 1808г. французский учёный-химик Жозеф Луи Пруст.
Закон постоянства состава формулируется так:
Вещество, независимо от способа его получения, всегда имеет постоянный качественный и количественный состав.

Вещества с постоянным составом названы дальтонидами в честь английского химика Джона Дальтона.
Состав дальтонидов описывается химическими формулами с целыми стехиометрическими коэффициентами, например Н2О, НCl, СН4, СO2, С2Н5ОН.
Из закона постоянства состава следует, что при образовании сложного вещества элементы простых веществ соединяются друг с другом в строго определенных массовых долях.
Массовая доля элемента ωЭ показывает, какую часть составляет масса данного элемента от массы всего вещества, где
n – число атомов;
ArЭ – относительная атомная масса элемента;
Mr – относительная молекулярная масса вещества.

Развитие химии показало, что наряду с веществами, имеющими постоянный состав, существуют вещества с переменным составом, который зависит от способа получения. Такие вещества назвали в честь французского химика Клода Бертолле – бертоллидами.
Бертоллиды не подчиняются законам стехиометрии. Примеры бертоллидов есть в классах оксидов, сульфидов, карбидов, гидридов и пр.
Исходя из вышеизложенного, уточним формулировку закона постоянства состава:
Состав соединений с молекулярной структурой является постоянным независимо от способа получения. Состав же соединений с немолекулярной структурой (с атомной, ионной и металлической решеткой) не является постоянным и зависит от условий получения.
Периодический закон
Периодический закон сформулирован Д. И. Менделеевым в 1869 году. К этому времени было известно 63 химических элемента. В качестве основного свойства элементов Менделеев выбрал относительную атомную массу. Учитывал также состав, физические и химические свойства образованных элементом простых и сложных веществ.
Расположив все известные химические элементы в порядке возрастания атомных масс, Менделеев обнаружил, что свойства повторяются через определённое число элементов.
Повторим действия Менделеева с учётом того факта, что благородные газы в его время ещё не были известны. Расположим элементы по возрастанию атомной массы (вторая строчка таблицы), укажем металлические и неметаллические свойства, формулы и свойства высших оксидов и гидроксидов, а также формулы газообразных водородных соединений.


Если внимательно проанализировать полученные последовательности, то можно увидеть повторяемость металлических и неметаллических свойств, состава и свойств соединений. Через семь элементов от щелочного металла лития в ряду располагается щелочной металл натрий, а через семь элементов от галогена фтора — галоген хлор. Через семь элементов появляются одинаковые формулы оксидов и водородных соединений, так как повторяются значения валентностей в соединениях с кислородом и водородом. Можем составить их общие формулы.
Формулы высших оксидов: R2O,RO,R2O3,RO2,R2O5,RO3,R2O7.
Летучие водородные соединения (для неметаллов): RH4,RH3,RH2,RH.
Таким образом Менделеев установил периодичность изменения свойств с возрастанием атомной массы. В статье «Периодическая закономерность химических элементов» Д. И. Менделеев дал следующую формулировку периодического закона:
«Свойства элементов, а потому и свойства образуемых ими простых и сложных тел, стоят в периодической зависимости от атомного веса».
В переводе на современный научный язык это звучит так:
«Свойства простых веществ, а также состав и свойства соединений элементов находятся в периодической зависимости от относительных атомных масс».
Все элементы Менделеев разделил на периоды.
Период — ряд элементов, расположенных в порядке возрастания относительной атомной массы, начинающийся щелочным металлом и заканчивающийся галогеном и инертным газом. В периоде:
- постепенно ослабляются металлические свойства простых веществ и усиливаются неметаллические;
- высшая валентность элементов по кислороду возрастает от I (у щелочных металлов) до VII (у галогенов);
- валентность элементов неметаллов в летучих водородных соединениях уменьшается от IV до I (у галогенов);
- свойства высших оксидов и гидроксидов постепенно изменяются от основных через амфотерные до кислотных.
Периодический закон получил дальнейшее развитие после изучения физиками строения атома. Оказалось, что главной характеристикой химического элемента является не относительная атомная масса, а заряд ядра атома.
Современная формулировка периодического закона несколько изменена:
«Свойства химических элементов и их соединений находятся в периодической зависимости от зарядов атомных ядер».
Для правильного написания химических формул надо знать валентность элементов или степень окисления. Валентностью называется способность атомов данного элемента присоединять или замещать определенное число других атомов. max вал. = 8.

,

Закон сохранения массы
Полная механическая энергия замкнутой системы тел остается неизменной.

Закон сохранения энергии можно представить в виде:

Если между телами действуют силы трения, то закон сохранения энергии видоизменяется. Изменение полной механической энергии равно работе сил трения.

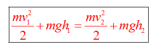
Рассмотрим свободное падение тела с некоторой высоты h1. Тело еще не движется (допустим, мы его держим), скорость равна нулю, кинетическая энергия равна нулю. Потенциальная энергия максимальная, так как сейчас тело находится выше всего от земли, чем в состоянии 2 или 3.

В состоянии 2 тело обладает кинетической энергией (так как уже развило скорость), но при этом потенциальная энергия уменьшилась, так как h2 меньше h1. Часть потенциальной энергии перешло в кинетическую.
Состояние 3 — это состояние перед самой остановкой. Тело как бы только-только дотронулось до земли, при этом скорость максимальная. Тело обладает максимальной кинетической энергией. Потенциальная энергия равна нулю (тело находится на земле).
Полные механические энергии равны между собой

, если пренебрегать силой сопротивления воздуха. Например, максимальная потенциальная энергия в состоянии 1 равна максимальной кинетической энергии в состоянии 3.
А куда потом исчезает кинетическая энергия? Исчезает бесследно? Опыт показывает, что механическое движение никогда не исчезает бесследно и никогда оно не возникает само собой. Во время торможения тела произошло нагревание поверхностей. В результате действия сил трения кинетическая энергия не исчезла, а превратилась во внутреннюю энергию теплового движения молекул.
При любых физических взаимодействиях энергия не возникает и не исчезает, а только превращается из одной формы в другую.
Общая форма закона сохранения и превращения энергии имеет вид:


Изучая тепловые процессы, мы будем рассматривать формулу

При исследовании тепловых процессов не рассматривается изменение механической энергии, то есть

В механике процессы теплопередачи не принимают во внимание, то есть

. Если рассматривается физическая система замкнутая, то

, получим

. А если в замкнутой системе действуют только консервативные силы, то

и приходим к формулировке: полная механическая энергия замкнутой системы тел, в которой действуют только консервативные силы, сохраняется.
Закон эквивалентов
Эквивалент (Э) – реальная или условная частица вещества, которая может присоединить, заместить в кислотно-основных реакциях один ион водорода (или другого одновалентного элемента), а в окислительно-восстановительных реакциях – присоединить или высвободить один электрон.
Под условной частицей вещества подразумевается реально существующие частицы (молекулы, ионы, электроны и т.д.), доли этих частиц (например, 1/2 иона) или их группы.
Фактор эквивалентности fэ (х) – число, обозначающее, какая доля реальной частицы вещества X эквивалентна одному иону водорода в кислотно-основной реакции или одному электрону в реакции окисления-восстановления.
Фактор эквивалентности – величина безразмерная. Принимает значения 1 или меньше единицы.
Для простых веществ и элементов в соединении fэ(х) = 1/В, где В – валентность элемента.
Например, для водорода или натрия fэ= 1/1 = 1. Для магния или кислорода fэ = 1/2.
Молярная масса эквивалента вещества Мэ(х) – масса одного моля эквивалента этого вещества, равная произведению фактора эквивалентности fэ(х) на молярную массу вещества Мх.
Мэ(х) = fэ (х) · Мх (кг/моль, г/моль).
Например, молярные массы эквивалентов простых веществ:
Мэ(Н) = 1 · 1 г/моль;
Мэ(Na) = 1· 23 = 23 г/моль;
Мэ(Mg) = ½ · 24 = 12 г/моль;
Mэ(О) = ½ · 16 = 8 г/моль.
Если одно из реагирующих веществ – газ, то для него вводится понятие объема эквивалента вещества – Vэ(х), который рассчитывается на основании следствия из закона Авогадро:
1 моль газа массой М занимает объем 22,4 л, при нормальных условиях (н.у.):
Рo = 1 атм.; То = 273 К
1 эквивалент газа массой Мэ занимает объем Vэ при н.у.
отсюда Vэ = 22,4 · Мэ / М (л/моль);
Например, при нормальных условиях 1 моль эквивалентов водорода занимает объем, равный:
Vэ (Н2) = 22,4 · 1 / 2 = 11,2 л/моль.
Для кислорода эта величина составляет
Vэ (О2) = 22,4 · 8 / 32 = 5,6 л/моль.
Закон эквивалентов: массы (или объемы) реагирующих веществ пропорциональны молярным массам эквивалентов (или эквивалентным объемам) этих веществ.
m1 / m2 = Mэ (1) / Мэ (2).
Если одно из этих веществ представляет собой газ, то закон эквивалентов записывается в виде
m1 / Мэ(1) = V2 / Vэ (2).
Закон кратных отношений
Относительные атомные и молекулярные массы являются мерой масс атомов и молекул, поэтому они позволяют сделать вывод о соотношении масс атомов различных элементов в молекуле сложного вещества.
Пример: Относительная атомная масса водорода и кислорода соответственно равна 1,00794 и 15,9994, откуда следует, что соотношение масс атомов водорода и кислорода составляет 1 : 16. В молекуле воды H2O содержится два атома водорода и один атом кислорода, следовательно, массовое отношение водорода и кислорода в воде равно 2 : 16 или 1 : 8.
Соотношение атомных масс элементов в соединениях устанавливает закон постоянства состава, вывел его в начале XIX в. французский химик Жозеф Луи Пруст (1754-1826) на основании анализа химических соединений.
Его современная формулировка такова:
Каким бы способом ни было получено вещество, его химический состав остается постоянным
В каждом сложном веществе (независимо от способа его получения) сохраняются неизменными соотношения чисел атомов и масс атомов входящих в его состав элементов. При этом, отношение чисел атомов различных элементов выражается небольшими целыми числами. Так, для воды H2O они составляют 2 : 1, для диоксида углерода CO2 — 1 : 2, для оксида азота (III) N2O3 — 2 : 3. Эти числа и определяют состав указанных сложных веществ.
Отсюда следует, что если два или несколько простых веществ соединяются с образованием некоторого сложного вещества, то и массовое отношение реагирующих веществ постоянно для данного продукта. Так, при взаимодействии водорода и кислорода могут быть получены вода H2O и пероксид водорода H2O2; очевидно, что не только в самих продуктах массовое отношение водорода и кислорода равно соответственно 1 : 8 и 1 : 16, но и массовые отношения реагентов будут такими же.
На основании закона постоянства состава и закона кратных отношений английский исследователь Джон Дальтон (John Dalton, 1766-1844) в 1807 г. высказал атомную гипотезу (основу атомно-молекулярного учения о строении вещества):
Любое вещество составлено из мельчайших химических частиц — атомов; простое вещество состоит из атомов одного элемента, сложное вещество — из атомов различных элементов.
Из атомной гипотезы вытекает, что закон постоянства состава отражает именно атомный состав вещества: в молекулу вещества объединяется определенное число именно атомов одного или различных элементов.
Закон кратных отношений, открытый Дальтоном, гласит:
Если два элемента образуют между собой несколько соединений, то массы атомов одного элемента, приходящиеся на одну и ту же массу атомов другого элемента, соотносятся между собой как небольшие целые числа.
Пример: Сера образует два оксида — диоксид SO2 и триоксид SO3. Относительная атомная масса серы и кислорода равна 32 и 16 (округлено). Массовое отношение серы и кислорода в SO2 равно 32 : (2·16) = 32 : 32, в SO3 32 : (3·16) = 32 : 48. Отсюда следует, что на каждые 32 массовые части серы в этих соединениях приходится 32 и 48 массовых частей кислорода соответственно, т.е. а после сокращения в соответствии с математическими законами, соотношение массовых частей кислорода 32 : 48 = 2 : 3, что и является отношением небольших кратных чисел.
Закон кратных отношений является фактическим объединением закона сохранения массы и закона постоянства состава на базе атомной гипотезы строения вещества.
Закон объемных отношений (закон Гей-Люссака)
Закон объёмных отношений впервые сформулировал в 1802 г французский учёный-химик Жозеф Луи Гей-Люссак.
Закон объёмных отношений формулируется так:
Объёмы вступающих в реакцию газов относятся друг к другу и к объёмам образующихся продуктов реакции как небольшие целые числа.
При этом подразумевается, что давление и температура неизменны.
Другими словами, стехиометрические коэффициенты в уравнениях химических реакций для молекул газообразных веществ показывают, в каких объёмных отношениях реагируют и получаются газообразные вещества.
Пример:
2Н2 + О2 →2Н2О,
При взаимодействии 2 объёмов водорода и 1 объёма кислорода образуются 2 объёма водяного пара.
Закон Авогадро
Изучение свойств газов позволило итальянскому физику А. Авогадро в 1811г. высказать гипотезу, которая впоследствии была подтверждена опытными данными, и стала называться законом Авогадро:
В равных объемах различных газов при одинаковых условиях (температуре и давлении) содержится одинаковое число молекул.
Из закона Авогадро вытекает важное следствие: моль любого газа при нормальных условиях (0

С (273 К) и давлении 101,3 кПа) занимает объем, равный 22,4 л. В этом объеме содержится 6,02 1023 молекул газа (число Авогадро).
Из закона Авогадро также следует, что массы равных объемов различных газов при одинаковых температуре и давлении относятся друг к другу как молярные массы этих газов:

где m1 и m2 – массы,
М1 и М2 – молекулярные массы первого и второго газов.
Поскольку масса вещества определяется по формуле

где ρ – плотность г аза,
V – объем газа,
то плотности различных газов при одинаковых условиях пропорциональны их молярным массам. На этом следствии из закона Авогадро основан простейший метод определения молярной массы веществ, находящихся в газообразном состоянии.
Закон Авогадро позволяет рассчитать плотность газа при нормальных условиях, на основании отношения молярной массы М к объему моля:

.
Из этого уравнения можно определить молярную массу газа:

.
Следствия из закона Авогадро
Из закона Авогадро вытекают два важных следствия.
Следствие 1 из закона Авогадро. Один моль любого газа при одинаковых условиях занимает одинаковый объем.
В частности при нормальных условиях объем одного моля идеального газа равен 22,4 л. Этот объем называют молярным объемом

:

Следствие 2 из закона Авогадро. Отношение масс одинаковых объемов двух газов есть величина постоянная для данных газов. Эта величина называется относительной плотностью

:

Объединенный газовый закон
Характерной особенностью газообразного состояния является то, что практически отсутствуют силы взаимного притяжения между молекулами вещества, и они не способны удерживаться друг возле друга. Поэтому газы могут неограниченно расширяться, занимая весь предоставленный им объем. В технологических процессах объем и форма газообразного тела идентичны объему и форме технологического пространства, в котором он находится (сосуд, автоклав, цилиндр поршня, внутреннее пространство плавильной печи и т. д.). Незначительность сил молекулярного взаимодействия между частицами газа позволяет ввести понятие «идеальный газ».
Идеальный газ — это такой гипотетический газ, молекулы которого не взаимодействуют друг с другом и занимают нулевой объем. Соотношения между давлением, объемом и температурой газов устанавливают законы идеальных газов: объединенный газовый закон, законы для изобарического, изохорического и изотермического процессов.
Реальные газы обычно хорошо подчиняются законам идеальных газов при давлениях, менее или несущественно превышающих атмосферное, и при температурах близких к температуре окружающей среды или более высоких. Поэтому законы идеальных газов находят широкое применение в природопользовании, в частности при расчетах количества, состава газов, выделяющихся при горении, и в других технологических процессах, сопровождаемых их образованием.
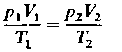
Объединяя законы Бойля — Мариотта и Гей-Люссака (уравнения 1 и 2), можно получить следующее уравнение:

которое является математическим выражением объединенного газового закона, или закона состояния газов. Он позволяет вычислить, например, объем газа при определенных температуре и давлении, если известен его объем при других значениях температуры и давления.
Объединенный газовый закон можно также записать в другой форме:

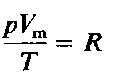
Точное значение постоянной в правой части этого уравнения зависит от количества газа. Если количество газа равно одному молю (см. гл. 4), то соответствующая постоянная обозначается буквой R и называется молярная газовая постоянная, или просто газовая постоянная. Если давление выражено в атмосферах, постоянная R имеет значение
R = 8,314 Дж*К* моль-1
Объединенный газовый закон для одного моля газа приобретает вид:

где Vm- объем одного моля газа. Для п молей газа получается уравнение:

В такой форме объединенный газовый закон называется уравнением состояния идеального газа. Уравнение состояния это уравнение, связывающее между собой параметры состояния газа-давление, объем и температуру.
Газ, который полностью подчиняется уравнению состояния идеального газа, называется идеальный газ. Такой газ не существует в действительности. Реальные газы хорошо подчиняются уравнению состояния идеального газа при низких давлениях и высоких температурах. Отклонения в поведении реальных газов от предписываемш уравнением состояния идеального газа подробно обсуждаются ниже.
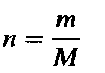
Вычисление относительной молекулярной массы с помощью уравнения состояние идеального газа. Уравнение состояния идеального газа позволяет проводить прямые вычисления относительной молекулярной массы газа M1. Введем понятие относительной молекулярной массы, основываясь на уже знакомом нам (из гл. 1) определении относительной атомной массы A1. Для газа, состоящего из простых молекул, относительная молекулярная масса представляет собой сумму относительных атомных масс всех атомов, входящих в молекулу. Например, для диоксида углерода.

Относительная молекулярная масса, выраженная в граммах на моль, называется молярной массой (см. гл. 4). Следовательно, молярная масса CO2 равна 44 г/моль. Два моля CO2 имеют массу 88 г, а и молей-массу п -44 г. В общем случае можно записать:

где n-количество вещества в молях (т.е. число молей данного вещества), т-масса вещества в граммах, a M-его молярная масса.
Подстановка полученного выражения для п в уравнение состояния идеального газа (4) дает:

Это уравнение позволяет, зная массу и объем газа при определенных температуре и давлении, вычислить его молярную массу М. А поскольку
M = M (г/моль), то полученный результат непосредственно дает относительную молекулярную массу М.
Уравнение Клайперона—Менделеева (для идеального газа)
Уравнение Клапейрона-Менделеева (1834 г) устанавливает связь между объемом V, давлением P и абсолютной температурой Т для газа:
PV = nRT,

где:
n – число молей газа;
P – давление газа, Па;
V – объем газа, м3;
T – абсолютная температура газа, К;
R – универсальная газовая постоянная 8,314 Дж/моль×K.
Если объём газа выражен в литрах, то уравнение Клапейрона-Менделеева записывается в виде:

Из уравнения Клапейрона-Менделеева следует три закона:
1. Закон Шарля:

2. Закон Гей-Люссака:

3. Закон Болйя-Мариотта: