Круговорот углерода в природе – краткая схема

Важную роль в жизнедеятельности живых организмов играет круговорот углерода в природе. Углерод входит в состав всех органических веществ и участвует в большинстве химических и физических процессов планеты.

Круговорот углерода в природе – краткая схема

Общее описание

Углерод – шестой элемент периодической таблицы Менделеева с относительной атомной массой 12. Углерод находится в четвертой группе и проявляет постоянную валентность IV. Это активное вещество, вступающее в реакцию с металлами, неметаллами, оксидами, кислотами.

В природе встречается в виде твёрдых веществ в составе горных пород. Элемент имеет несколько аллотропных модификаций – графит, алмаз, сажа, уголь. Большая часть газообразного углерода находится в атмосфере. Соединяясь с кислородом, образует угарный и углекислый газы.

Круговорот углерода в природе – краткая схема

Рис. 1. Аллотропные модификации углерода.

Угарный газ (СО) – ядовитое вещество без цвета, запаха, вкуса. Соединяясь с гемоглобином крови, нарушает клеточное дыхание, что приводит к удушению.

Значение углерода

Углерод входит в состав угольной кислоты (H2CO3), соды (Na2CO3), всех органических соединений. Это один из жизненно важных элементов. Углерод участвует в процессах дыхания, синтеза веществ, энергетического обмена.

В живых организмах элемент содержат:

  • ДНК (дезоксирибонуклеиновая кислота);
  • нуклеиновые кислоты;
  • аминокислоты;
  • АТФ (аденозинтрифосфат) – универсальный источник энергии;
  • липиды и жирные кислоты.

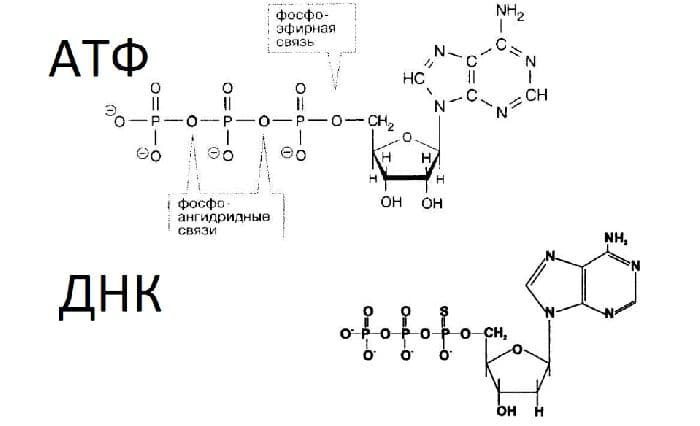
Круговорот углерода в природе – краткая схема

Рис. 2. Структурные формулы ДНК и АТФ.

Благодаря четырём валентным электронам атом углерода способен образовывать четыре связи с атомами различных элементов. Именно этим объясняется распространённость элемента в природе в составе сложных веществ.

Круговорот

Краткая схема круговорота углерода в природе:

  • углекислый газ используется растениями для фотосинтеза;
  • продуктом фотосинтеза являются органические вещества, в частности углеводы;
  • углерод попадает в тело травоядных животных, затем – хищников;
  • обратно элемент возвращается в природу при дыхании животных и после их смерти в результате гниения (осуществляют бактерии, грибы).

Круговорот углерода в природе – краткая схема

Рис. 3. Схема круговорота углерода в природе.

Общее количество углерода в природе можно разделить на четыре части:

  • оставшийся в составе клеток растения;
  • находящийся в животных клетках;
  • высвободившийся в атмосферу при дыхании или сжигании топлива;
  • отложившийся в грунте, куда попадает в результате разложения.

Углекислый газ (СО2) является конечным продуктом метаболизма. Он образуется в процессе дыхания и полного распада углеводов, жиров, аминокислот. Из клетки с током крови углекислый газ попадает в лёгкие, а оттуда – в атмосферу при внешнем дыхании.

Углекислый газ – продукт не только жизнедеятельности живых организмов. Газ образуется при сжигании органического топлива – нефти, природного газа, древесины, угля. При попадании углекислого газа в атмосферу круговорот элемента начинается заново.

Углерод накапливается в земной коре или на дне океана в виде горных пород или донных отложений. Именно так образуются каменный уголь, нефть, графит, алмаз.

Что мы узнали?

Углерод – жизненно важный элемент, участвующий в круговороте веществ в природе. Углерод в составе углекислого газа поглощают растения в процессе фотосинтеза и преобразуют в органические вещества, которые служат пищей для травоядных животных. Используя других животных в качестве пищи, хищники получают углерод в составе органических веществ. Обратно в природу углерод попадает при дыхании (выделяется в виде углекислого газа) и при гниении органических тканей.

Беликова Ирина

Учитель физики, информатики и вычислительной техники. Победитель конкурса лучших учителей Российской Федерации в рамках Приоритетного Национального Проекта "Образование".

Оцените автора
Добавить комментарий