Практически ежедневно человек сталкивается с явлением изменения направления солнечного потока. Это происходит после попадания светового пучка на поверхность водной среды из воздуха. Одиночный пучок отражается от границы, а второй — проникает в новые условия, как правило, искажая уклон полосы. Голландский ученый Снелл, который сформулировал закон преломления света, указал причину модификации фотометрической линии.

Геометрическая оптика

Оптика — огромный раздел в физике, включающий в себя изучение происхождения лучей и контакт полос света с веществами различной природы. Часть оптики, рассматривающая принципы направления солнечного света в гомогенной среде, называется лучевой. Чтобы тщательно разобраться в закономерностях распределения полос, необходимо определить предмет изучения геометрической оптики.
Термин «свет»
Предметы, которые доступны человеческому глазу без дополнительных оптических приборов, находятся в узком диапазоне видимого света. Близкие по частоте длины волн принадлежат ультрафиолетовому и инфракрасному излучениям. Например, семейство пчелиных распознают колебания ультрафиолетовых волн.

Световые лучи имеют различное происхождение. Тепловые материалы достигают температуры 1000−1600 градусов Цельсия, а также способны изменять цвет в зависимости от термического градиента. Источники люминесцентного свечения (экраны смартфонов, некоторые семейства насекомых, газоразрядные лампы) выделяют «холодный свет», поэтому пользуются большим спросом в быту.
Потоки обладают отражательными и преломляющими способностями. В повседневной жизни человек непременно сталкивается с доказательствами законов лучевой оптики. Самые популярные примеры:
- свойство водоемов искажать солнечные потоки;
- получение бликов на металлической поверхности с помощью портативных генераторов;
- освещение дорожного пути фарами автомобилей;
- изменение формы предметов, погруженных в емкости с водой;
- построение изображений с помощью зеркал.
Существует две теории происхождения световых потоков. Согласно волновому принципу, лучи в физике — волны электрической или магнитной природы. Представители корпускулярной доктрины считают, что солнечные полосы — это множество частиц, которые обладают значительной энергией и способны перемещаться в вакууме.
Принципы распространения лучей
Изучение формулировок законов, связанных с перемещением света в пространстве, начинают ещё в 10−11-м классе. Учителя физики используют для наглядных примеров стеклянную емкость с водой и портативный генератор. Направляя луч лазера через призму, ученики убедятся в том, что пучки перемещаются прямолинейно.
В геометрической оптике выделяют четыре главных правила перемещения световых полос:

Явление искажения световых полос открыл голландский математик и астроном Виллеброрд Снелл в XVII веке. Но многие физики считают, что закон был открыт намного раньше (в X веке) арабским ученым Сахль ибн Бишром. Экспериментально закон подтвердил французский механик Декарт, поэтому в литературных источниках Франции часто встречается словосочетание «закон Декарта».
Искажение световых потоков

Доказано, что полосы, проходя из воздушной среды в стекло, сильно искажается. Луч, попавший в воду из воздуха, лишь немного изменяет угол наклона. Для удобства определения коэффициента преломления был введен специальный термин — относительный параметр искажения. Условный параметр характеризует состояние воздуха и воды при прохождении солнечного отрезка через их границы. Коэффициент высчитывается по определенному математическому соотношению, но нет необходимости делать это самостоятельно, так как готовые таблицы есть в книгах по физике.
Доказательства закона
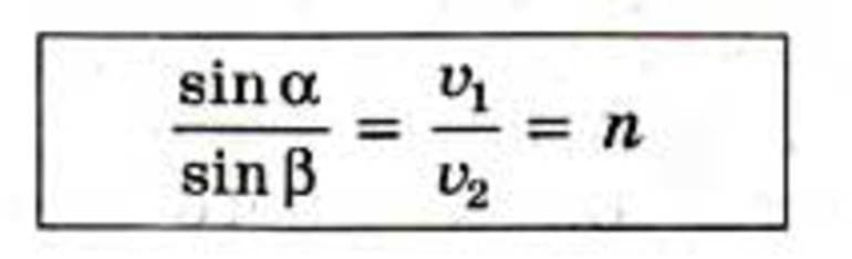
Искажение лучей при попадании из одной оптически однородной среды в другую зависит от скорости распределения света между средами. Изменение параметров движения в воздухе изображают через U1, а скорость в водной среде — U2. Предположим, что на поверхность водной глади попадает световой луч А1 с углом α между преломленной линией и перпендикуляром. С1 — отраженная часть луча с углом α между отраженной полосой и серединным отрезком.

Луч В1 попадает на границу раздела двух сред через время Δ t. Чтобы определить значение времени, за которое световой пучок попадет на водную гладь, необходимо отрезок СВ разделить на U1.
Когда напряжение дойдет до момента В, вторая электромагнитная волна в воде примет форму шара. Радиус сферы равен U2 Δ t. Чтобы выяснить, как будет двигаться световой луч в дальнейшем, необходимо провести специальный отрезок ВD.
Нисходящая полоса А1А образует предельный угол α, который равен по величине углу САВ в фигуре АВС. Отсюда следует, что сторона СВ равна U1 Δ t или же стороне треугольника АВ*sinα.
Угол искажения β равен углу АВD. Следовательно, сторона треугольника АD равна радиусу сферы. Разделив первое равенство на второе, легко понять, в чем физический смысл преломления света:
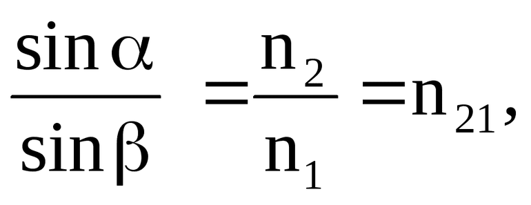
sin α / sin β = n1/n2 = n21
При увеличении или уменьшении нисходящего угла происходят изменения относительно угла искажения. Если величина нисходящего угла повышается, то второй угол также возрастает. Если пучок падает на поверхность емкости с достаточной плотностью, то искажающий угол, как правило, намного меньше падающего угла. Параметр рефракции среды относительно вакуума — абсолютный коэффициент искажения.

Формула закона преломления света имеет различные формы записи:
n1*sin θ = n2*sin θ
Связь выражения n1*sin θ c n2*sin θ заключается в полном внутреннем отражении. Искажающая полоса исчезает, а нисходящий луч отражается от поверхности среды. Формулу закона Снелла часто используют, если длина электромагнитной волны небольшой величины.
Практическое применение
Искажение световых полос является основой для создания оптических телескопов, в которых для оформления пучков света применяют специальные линзы. Рефракторы используют в научной работе в качестве телескопов, зрительных труб, приборов для приближения дальних объектов.

Спектрографы и другие зрительные инструменты применяются для визуального наблюдения спектра излучения. В биофизике углубленно рассматривают геометрическую оптику, чтобы правильно понимать акустические параметры. В устройствах для воспроизведения звуков очень важен показатель рефракции при изучении распределения звуков.
Явление искажения пучков света применяется во многих медицинских сферах. Особенно при изучении строения и функционирования глаз человека, а также для лечения и корректировки таких заболеваний, как близорукость и дальнозоркость. Чтобы выписать пациенту рецепт на очки, офтальмолог обязан проверить зрение с помощью фороптора.
Проведение диагностики позволяет выявить патологии искажения пучков света в глазу человека. Тест на форопторе включает в себя работу с линзами, которые имеют различную преломляющую способность. Для лечения и дальнейшей корректировки зрения специалисты назначают контактные линзы или очки.