Тип: Учебник
Автор: Габриелян О.С.
Издательство: Дрофа
Год: 2014
На этой странице представлено подробное решение задания номер 3 параграфа §35 из сборника ГДЗ к учебнику по химии 9 класс автора Габриелян О.С., издательство Дрофа.
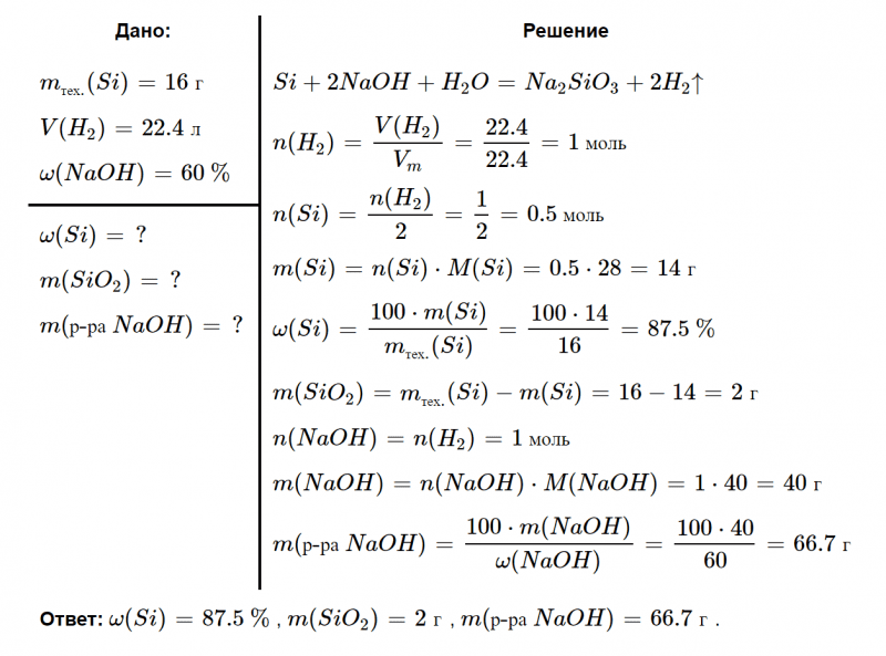
Решение №3 §35

Тип: Учебник
Автор: Габриелян О.С.
Издательство: Дрофа
Год: 2014
На этой странице представлено подробное решение задания номер 3 параграфа §35 из сборника ГДЗ к учебнику по химии 9 класс автора Габриелян О.С., издательство Дрофа.
Решение №3 §35
