Тип: Учебник
Автор: Габриелян О.С.
Издательство: Дрофа
Год: 2013
На этой странице представлено подробное решение задания номер 1 параграфа §43 из сборника ГДЗ к учебнику по химии 8 класс автора Габриелян О.С., издательство Дрофа.
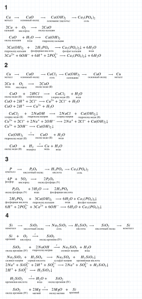
Решение №1 §43

Тип: Учебник
Автор: Габриелян О.С.
Издательство: Дрофа
Год: 2013
На этой странице представлено подробное решение задания номер 1 параграфа §43 из сборника ГДЗ к учебнику по химии 8 класс автора Габриелян О.С., издательство Дрофа.
Решение №1 §43
