ГДЗ по алгебре 8 класс Мерзляк, Полонский, Якир номер 910

На этой странице представлено подробное решение задания номер 910 из сборника ГДЗ к учебнику по алгебре 8 класс авторов Мерзляк, Полонский, Якир.

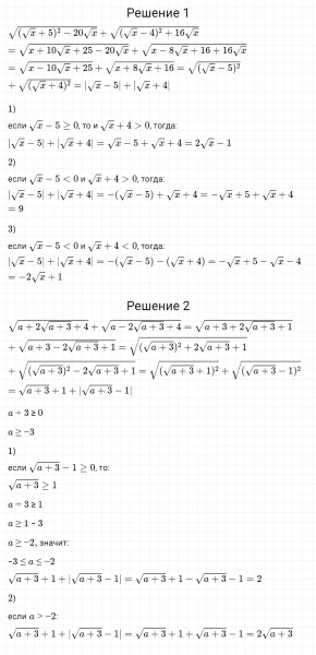
Решение №910

ГДЗ по алгебре 8 класс Мерзляк, Полонский, Якир номер 910

Поделиться с друзьями
Добавить комментарий