ГДЗ по алгебре 8 класс Мерзляк, Полонский, Якир номер 761

На этой странице представлено подробное решение задания номер 761 из сборника ГДЗ к учебнику по алгебре 8 класс авторов Мерзляк, Полонский, Якир.

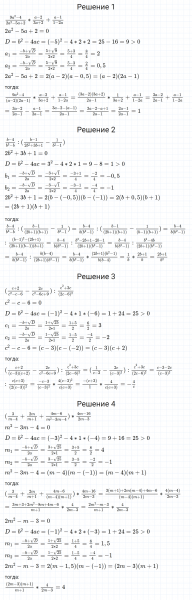
Решение №761

ГДЗ по алгебре 8 класс Мерзляк, Полонский, Якир номер 761

Поделиться с друзьями
Добавить комментарий