ГДЗ по алгебре 8 класс Мерзляк, Полонский, Якир номер 732

На этой странице представлено подробное решение задания номер 732 из сборника ГДЗ к учебнику по алгебре 8 класс авторов Мерзляк, Полонский, Якир.

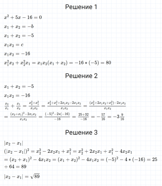
Решение №732

ГДЗ по алгебре 8 класс Мерзляк, Полонский, Якир номер 732

Поделиться с друзьями
Добавить комментарий