ГДЗ по алгебре 8 класс Мерзляк, Полонский, Якир номер 6 задание №2 Проверьте себя в тестовой форме

На этой странице представлено подробное решение номера 6 к заданию №2 «Проверьте себя» в тестовой форме из сборника ГДЗ к учебнику по алгебре 8 класс авторов Мерзляк, Полонский, Якир.

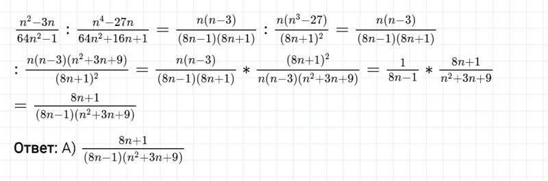
Номер 6 Задание №2 «Проверьте себя»

ГДЗ по алгебре 8 класс Мерзляк, Полонский, Якир номер 6 задание №2 Проверьте себя в тестовой форме

Поделиться с друзьями
Добавить комментарий