ГДЗ по алгебре 8 класс Мерзляк, Полонский, Якир номер 574

На этой странице представлено подробное решение задания номер 574 из сборника ГДЗ к учебнику по алгебре 8 класс авторов Мерзляк, Полонский, Якир.

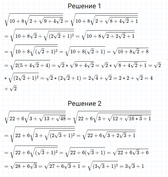
Решение №574

ГДЗ по алгебре 8 класс Мерзляк, Полонский, Якир номер 574

Поделиться с друзьями
Добавить комментарий