Тип: Учебник
Автор: Мерзляк А.Г., Полонский В.Б., Якир М.С.
Издательство: Вентана-Граф
Год: 2016-2020
На этой странице представлено подробное решение задания номер 419 из сборника ГДЗ к учебнику по алгебре 8 класс авторов Мерзляк, Полонский, Якир.
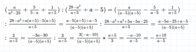
Решение №419
