ГДЗ по алгебре 8 класс Мерзляк, Полонский, Якир номер 368

На этой странице представлено подробное решение задания номер 368 из сборника ГДЗ к учебнику по алгебре 8 класс авторов Мерзляк, Полонский, Якир.

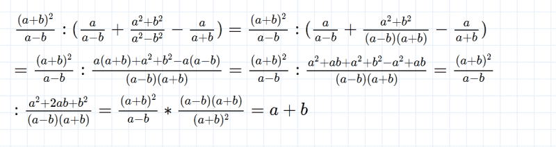
Решение №368

ГДЗ по алгебре 8 класс Мерзляк, Полонский, Якир номер 368

Поделиться с друзьями
Добавить комментарий