ГДЗ по алгебре 8 класс Мерзляк, Полонский, Якир номер 250

На этой странице представлено подробное решение задания номер 250 из сборника ГДЗ к учебнику по алгебре 8 класс авторов Мерзляк, Полонский, Якир.

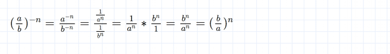
Решение №250

ГДЗ по алгебре 8 класс Мерзляк, Полонский, Якир номер 250

Поделиться с друзьями
Добавить комментарий