ГДЗ по алгебре 8 класс Мерзляк, Полонский, Якир номер 169

На этой странице представлено подробное решение задания номер 169 из сборника ГДЗ к учебнику по алгебре 8 класс авторов Мерзляк, Полонский, Якир.

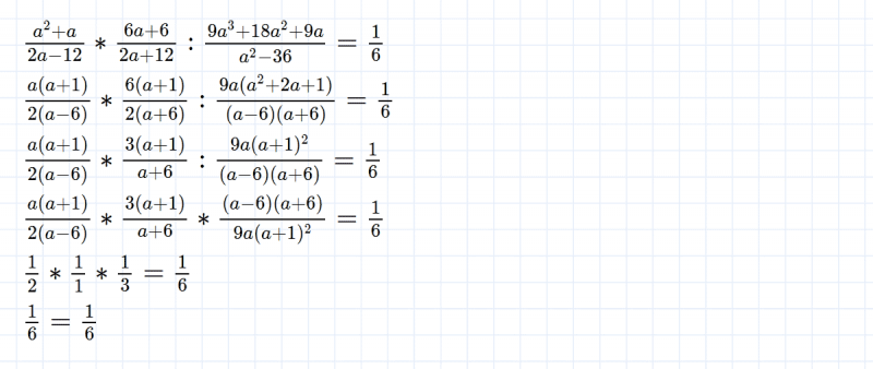
Решение №169

ГДЗ по алгебре 8 класс Мерзляк, Полонский, Якир номер 169

Поделиться с друзьями
Добавить комментарий