Тип: Учебник
Автор: Мерзляк А.Г., Полонский В.Б., Якир М.С.
Издательство: Вентана-Граф
Год: 2016-2020
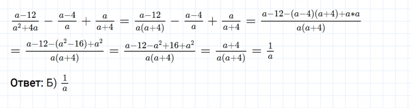
На этой странице представлено подробное решение номера 11 к заданию №1 «Проверьте себя» в тестовой форме из сборника ГДЗ к учебнику по алгебре 8 класс авторов Мерзляк, Полонский, Якир.
Номер 11 Задание №1 «Проверьте себя»
