ГДЗ по алгебре 7 класс Мерзляк, Полонский, Якир номер 904

На этой странице представлено подробное решение задания номер 904 из сборника ГДЗ к учебнику по алгебре 7 класс авторов Мерзляк, Полонский, Якир.

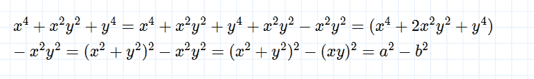
Решение №904

ГДЗ по алгебре 7 класс Мерзляк, Полонский, Якир номер 904

Поделиться с друзьями
Добавить комментарий