Тип: Учебник
Автор: Мерзляк А.Г., Полонский В.Б., Якир М.С.
Издательство: Вентана-Граф
Год: 2016-2019
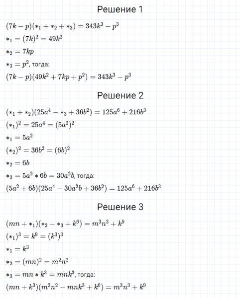
На этой странице представлено подробное решение задания номер 687 из сборника ГДЗ к учебнику по алгебре 7 класс авторов Мерзляк, Полонский, Якир.
Решение №687
