ГДЗ по алгебре 7 класс Макарычев, Миндюк номер 989

На этой странице представлено подробное решение задания номер 989 из сборника ГДЗ к учебнику по алгебре 7 класс авторов Макарычев, Миндюк, Нешков, Суворова.

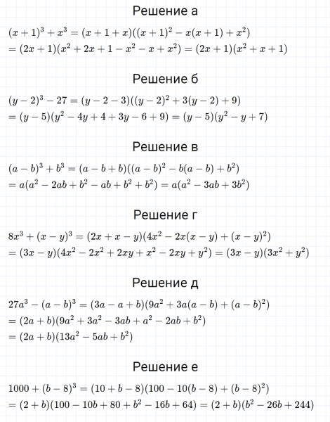
Решение №989

ГДЗ по алгебре 7 класс Макарычев, Миндюк номер 989

Поделиться с друзьями
Добавить комментарий