ГДЗ по алгебре 7 класс Макарычев, Миндюк номер 884

На этой странице представлено подробное решение задания номер 884 из сборника ГДЗ к учебнику по алгебре 7 класс авторов Макарычев, Миндюк, Нешков, Суворова.

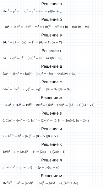
Решение №884

ГДЗ по алгебре 7 класс Макарычев, Миндюк номер 884

Поделиться с друзьями
Добавить комментарий