Тип: Учебник
Автор: Макарычев Ю.Н., Миндюк Н.Г., Нешков К.И., Суворова С.Б.
Издательство: Просвещение
Год: 2013-2017
На этой странице представлено подробное решение задания номер 689 из сборника ГДЗ к учебнику по алгебре 7 класс авторов Макарычев, Миндюк, Нешков, Суворова.
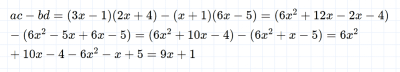
Решение №689
