ГДЗ по алгебре 7 класс Макарычев, Миндюк номер 465

На этой странице представлено подробное решение задания номер 465 из сборника ГДЗ к учебнику по алгебре 7 класс авторов Макарычев, Миндюк, Нешков, Суворова.

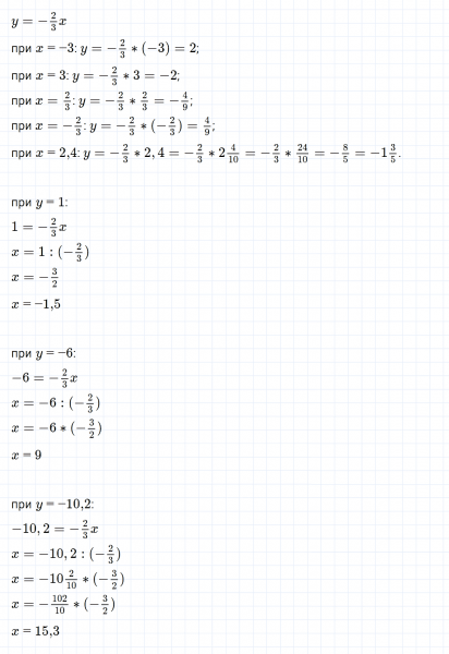
Решение №465

ГДЗ по алгебре 7 класс Макарычев, Миндюк номер 465

Поделиться с друзьями
Добавить комментарий