ГДЗ по алгебре 7 класс Макарычев, Миндюк номер 1216

На этой странице представлено подробное решение задания номер 1216 из сборника ГДЗ к учебнику по алгебре 7 класс авторов Макарычев, Миндюк, Нешков, Суворова.

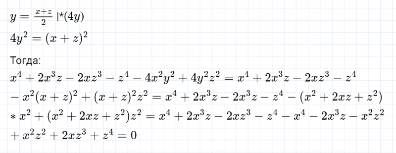
Решение №1216

ГДЗ по алгебре 7 класс Макарычев, Миндюк номер 1216

Поделиться с друзьями
Добавить комментарий