ГДЗ по алгебре 7 класс Макарычев, Миндюк номер 1000

На этой странице представлено подробное решение задания номер 1000 из сборника ГДЗ к учебнику по алгебре 7 класс авторов Макарычев, Миндюк, Нешков, Суворова.

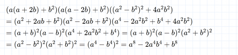
Решение №1000

ГДЗ по алгебре 7 класс Макарычев, Миндюк номер 1000

Поделиться с друзьями
Добавить комментарий