Тип: Учебник
Автор: Дорофеев Г.В., Суворова С.Б. , Бунимович Е.А., Кузнецова Л.В., Минаева С.С., Рослова Л.О.
Издательство: Просвещение
Год: 2014
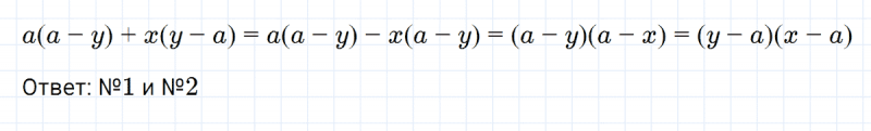
На этой странице представлено подробное решение задания номер 4 проверьте себя к главе 8 из сборника ГДЗ к учебнику по алгебре 7 класс авторов Дорофеев, Суворова, Бунимович, Кузнецова, Минаева, Рослова.
Задание 4 проверьте себя, глава 8
