ГДЗ по алгебре 7 класс Дорофеев, Суворова, Бунимович номер 876

На этой странице представлено подробное решение задания номер 876 из сборника ГДЗ к учебнику по алгебре 7 класс авторов Дорофеев, Суворова, Бунимович, Кузнецова, Минаева, Рослова.

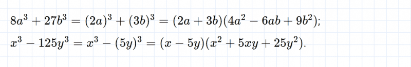
Решение №876

ГДЗ по алгебре 7 класс Дорофеев, Суворова, Бунимович номер 876

Поделиться с друзьями
Добавить комментарий