ГДЗ по математике 6 класс Виленкин, Жохов задание №1140

На этой странице представлено подробное решение номера 1140 из сборника ГДЗ к учебнику по математике 6 класс авторов Виленкин, Жохов, Чесноков, Шварцбурд.

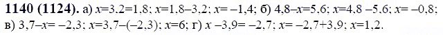
Решение №1140

ГДЗ по математике 6 класс Виленкин, Жохов задание №1140

Беликова Ирина

Учитель физики, информатики и вычислительной техники. Победитель конкурса лучших учителей Российской Федерации в рамках Приоритетного Национального Проекта "Образование".

Оцените автора
Добавить комментарий