ГДЗ по математике 6 класс Виленкин, Жохов задание №1132

На этой странице представлено подробное решение номера 1132 из сборника ГДЗ к учебнику по математике 6 класс авторов Виленкин, Жохов, Чесноков, Шварцбурд.

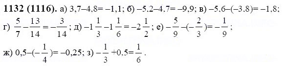
Решение №1132

ГДЗ по математике 6 класс Виленкин, Жохов задание №1132

Беликова Ирина

Учитель физики, информатики и вычислительной техники. Победитель конкурса лучших учителей Российской Федерации в рамках Приоритетного Национального Проекта "Образование".

Оцените автора
Добавить комментарий