ГДЗ по математике 6 класс Никольский, Потапов задание №665
Автор Беликова Ирина На чтение 1 мин Просмотров 17
Тип: Учебник
Автор: Никольский С.М., Потапов М.К,, Решетников Н.Н., Шевкин А.В.
Издательство: Просвещение
Год: 2015
На этой странице представлено подробное решение номера 665 из сборника ГДЗ к учебнику по математике 6 класс авторов Никольский, Потапов, Решетников, Шевкин.
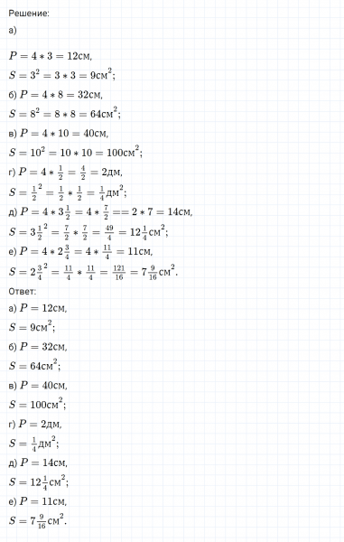
Решение №665

Беликова Ирина
Учитель физики, информатики и вычислительной техники. Победитель конкурса лучших учителей Российской Федерации в рамках Приоритетного Национального Проекта "Образование".