Мерзляк
Тип: Учебник Автор: Мерзляк А.Г., Полонский В.Б., Якир М.С. Издательство: Вентана-Граф Год: 2014 На этой странице представлено подробное решение заданий
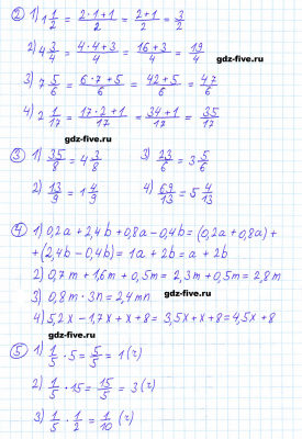
Тип: Учебник Автор: Мерзляк А.Г., Полонский В.Б., Якир М.С. Издательство: Вентана-Граф Год: 2014 На этой странице представлено подробное решение заданий
Тип: Учебник Автор: Мерзляк А.Г., Полонский В.Б., Якир М.С. Издательство: Вентана-Граф Год: 2014 На этой странице представлено подробное решение заданий
Тип: Учебник Автор: Мерзляк А.Г., Полонский В.Б., Якир М.С. Издательство: Вентана-Граф Год: 2014 На этой странице представлено подробное решение заданий
Тип: Учебник Автор: Мерзляк А.Г., Полонский В.Б., Якир М.С. Издательство: Вентана-Граф Год: 2014 На этой странице представлено подробное решение заданий
Тип: Учебник Автор: Мерзляк А.Г., Полонский В.Б., Якир М.С. Издательство: Вентана-Граф Год: 2014 На этой странице представлено подробное решение заданий
Тип: Учебник Автор: Мерзляк А.Г., Полонский В.Б., Якир М.С. Издательство: Вентана-Граф Год: 2014 На этой странице представлено подробное решение заданий
Тип: Учебник Автор: Мерзляк А.Г., Полонский В.Б., Якир М.С. Издательство: Вентана-Граф Год: 2014 На этой странице представлено подробное решение заданий
Тип: Учебник Автор: Мерзляк А.Г., Полонский В.Б., Якир М.С. Издательство: Вентана-Граф Год: 2014 На этой странице представлено подробное решение заданий
Тип: Учебник Автор: Мерзляк А.Г., Полонский В.Б., Якир М.С. Издательство: Вентана-Граф Год: 2014 На этой странице представлено подробное решение заданий









