ГДЗ по математике 6 класс Мерзляк решаем устно параграф §11

На этой странице представлено подробное решение заданий решаем устно параграфа 11 из сборника ГДЗ к учебнику по математике 6 класс авторов Мерзляк, Полонский, Якир.

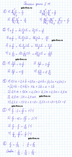
Решаем устно §11

ГДЗ по математике 6 класс Мерзляк решаем устно параграф §11

Беликова Ирина

Учитель физики, информатики и вычислительной техники. Победитель конкурса лучших учителей Российской Федерации в рамках Приоритетного Национального Проекта "Образование".

Оцените автора
Добавить комментарий