ГДЗ по математике 6 класс Мерзляк задание №366

На этой странице представлено подробное решение номера 366 из сборника ГДЗ к учебнику по математике 6 класс авторов Мерзляк, Полонский, Якир.

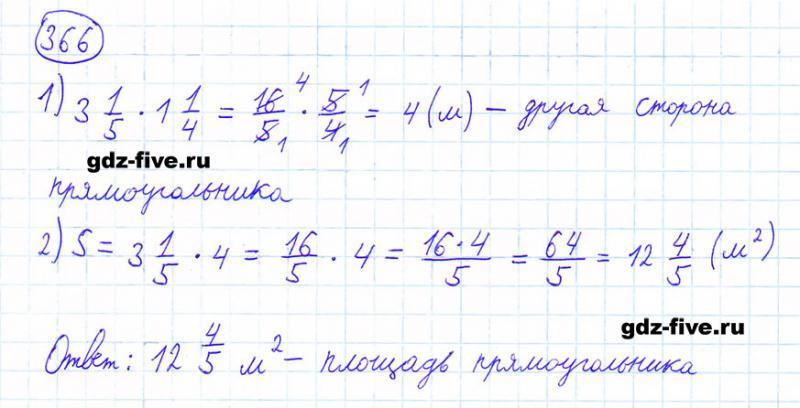
Решение №366

ГДЗ по математике 6 класс Мерзляк задание №366

Беликова Ирина

Учитель физики, информатики и вычислительной техники. Победитель конкурса лучших учителей Российской Федерации в рамках Приоритетного Национального Проекта "Образование".

Оцените автора
Добавить комментарий