ГДЗ по математике 6 класс Мерзляк решаем устно параграф §38

На этой странице представлено подробное решение заданий решаем устно параграфа 38 из сборника ГДЗ к учебнику по математике 6 класс авторов Мерзляк, Полонский, Якир.

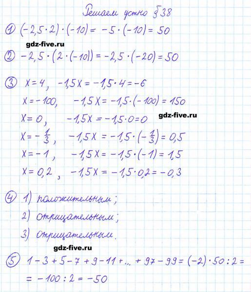
Решаем устно §38

ГДЗ по математике 6 класс Мерзляк решаем устно параграф §38

Беликова Ирина

Учитель физики, информатики и вычислительной техники. Победитель конкурса лучших учителей Российской Федерации в рамках Приоритетного Национального Проекта "Образование".

Оцените автора
Добавить комментарий