ГДЗ по математике 5 класс Виленкин, Жохов задание №825

На этой странице представлено подробное решение номера 825 из сборника ГДЗ к учебнику по математике 5 класс авторов Виленкин, Жохов, Чесноков, Шварцбурд.

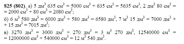
Решение №825

ГДЗ по математике 5 класс Виленкин, Жохов задание №825

Беликова Ирина

Учитель физики, информатики и вычислительной техники. Победитель конкурса лучших учителей Российской Федерации в рамках Приоритетного Национального Проекта "Образование".

Оцените автора
Добавить комментарий