ГДЗ по математике 5 класс Виленкин, Жохов задание №452
Автор Беликова Ирина На чтение 1 мин Просмотров 5
Тип: Учебник
Автор: Виленкин Н.Я., Жохов В.И., Чесноков А.С., Шварцбурд С.И.
Издательство: Мнемозина
Год: 2013
На этой странице представлено подробное решение номера 452 из сборника ГДЗ к учебнику по математике 5 класс авторов Виленкин, Жохов, Чесноков, Шварцбурд.
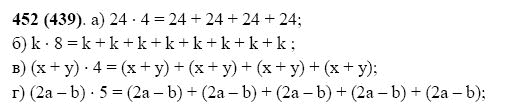
Решение №452

Беликова Ирина
Учитель физики, информатики и вычислительной техники. Победитель конкурса лучших учителей Российской Федерации в рамках Приоритетного Национального Проекта "Образование".