ГДЗ по математике 5 класс Мерзляк задание №554
Автор Беликова Ирина На чтение 1 мин Просмотров 19
Тип: Учебник
Автор: Мерзляк А.Г., Полонский В.Б., Якир М.С.
Издательство: Вентана-Граф
Год: 2014
На этой странице представлено подробное решение номера 554 из сборника ГДЗ к учебнику по математике 5 класс авторов Мерзляк, Полонский, Якир.
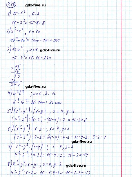
Решение №554

Беликова Ирина
Учитель физики, информатики и вычислительной техники. Победитель конкурса лучших учителей Российской Федерации в рамках Приоритетного Национального Проекта "Образование".