ГДЗ по математике 5 класс Мерзляк задание №516

На этой странице представлено подробное решение номера 516 из сборника ГДЗ к учебнику по математике 5 класс авторов Мерзляк, Полонский, Якир.

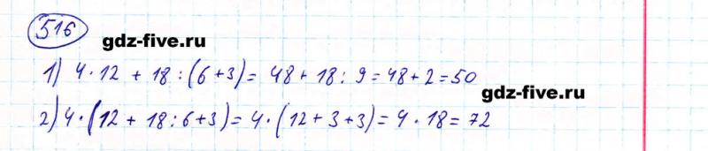
Решение №516

ГДЗ по математике 5 класс Мерзляк задание №516

Беликова Ирина

Учитель физики, информатики и вычислительной техники. Победитель конкурса лучших учителей Российской Федерации в рамках Приоритетного Национального Проекта "Образование".

Оцените автора
Добавить комментарий