ГДЗ по математике 4 класс Петерсон задание 14 урок 30 часть 2
Автор Беликова Ирина На чтение 1 мин Просмотров 9
Тип: Учебник, часть 1, 2, 3
Автор: Петерсон Л.Г.
Издательство: Ювента
Год: 2015
На этой странице представлено подробное решение задания номер 14 урока 30 из сборника ГДЗ к учебнику часть 2 по математике 4 класс автора Петерсон Л.Г.
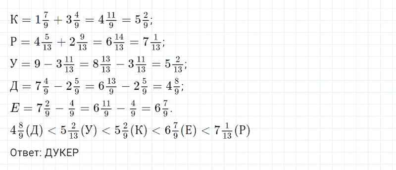
Решение №14 урок 30 часть 2

Беликова Ирина
Учитель физики, информатики и вычислительной техники. Победитель конкурса лучших учителей Российской Федерации в рамках Приоритетного Национального Проекта "Образование".