Главная страница ГДЗ по математике 4 класс Петерсон задача на повторение 87 часть 3
ГДЗ по математике 4 класс Петерсон задача на повторение 87 часть 3
Автор Беликова Ирина На чтение 1 мин Просмотров 11
Тип: Учебник, часть 1, 2, 3
Автор: Петерсон Л.Г.
Издательство: Ювента
Год: 2015
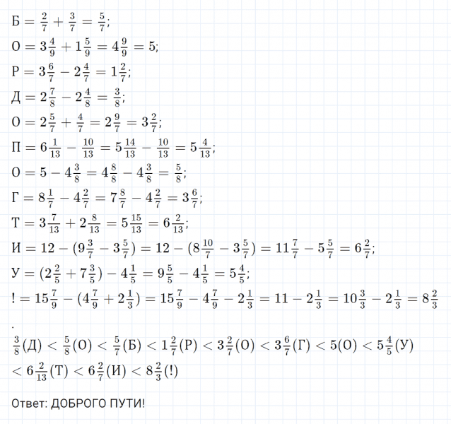
На этой странице представлено подробное решение задачи на повторение номер 87 из сборника ГДЗ к учебнику часть 3 по математике 4 класс автора Петерсон Л.Г.
Задача на повторение №87

Беликова Ирина
Учитель физики, информатики и вычислительной техники. Победитель конкурса лучших учителей Российской Федерации в рамках Приоритетного Национального Проекта "Образование".