Главная страница ГДЗ по математике 4 класс Моро, Бантова часть 1 страница 18 номер 4
ГДЗ по математике 4 класс Моро, Бантова часть 1 страница 18 номер 4
Автор Беликова Ирина На чтение 1 мин Просмотров 25
Тип: Учебник, часть 1, 2
Автор: Моро М.И., Бантова М.А., Бельтюкова Г.В., Волкова С.И., Степанова С.В.
Издательство: Просвещение
Год: 2015
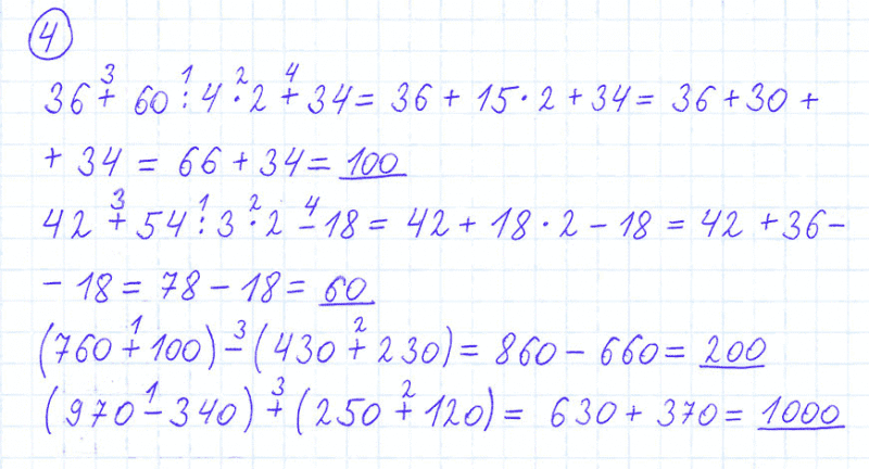
На этой странице представлено подробное решение задания номер 4 со страницы 18, что узнали, чему научились из сборника ГДЗ к учебнику часть 1 по математике 4 класс авторов Моро, Бантова, Бельтюкова, Волкова, Степанова.
Часть 1 страница 18 задание 4

Беликова Ирина
Учитель физики, информатики и вычислительной техники. Победитель конкурса лучших учителей Российской Федерации в рамках Приоритетного Национального Проекта "Образование".