Тип: Учебник, часть 1, 2
Автор: Моро М.И., Бантова М.А., Бельтюкова Г.В., Волкова С.И., Степанова С.В.
Издательство: Просвещение
Год: 2015
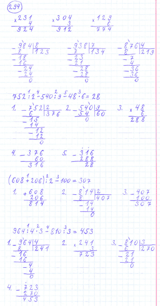
На этой странице представлено подробное решение задания номер 294 из сборника ГДЗ к учебнику часть 1 по математике 4 класс авторов Моро, Бантова, Бельтюкова, Волкова, Степанова.
Часть 1 задание 294
