Удары (или столкновения) – самый очевидный способ взаимодействия тел. Тем не менее, их рассмотрение выходит далеко за рамки бытовых вопросов. Физики используют такое определение удара: взаимодействие движущихся тел, при котором временем соприкосновения можно пренебречь. В первую очередь рассматриваются абсолютно упругий и неупругий удары.

Область применения
Столкновения имеют большое значение для изучения вещества. Отражение и рассеяние света, других электромагнитных волн или даже потока электронов могут быть рассмотрены подобно механическим явлениям. На фотографии или рентгеновском снимке можно рассмотреть предметы, не имея возможности сделать это напрямую. Аналогично для исследования устройства микромира физики проводят столкновение ядер свинца в детекторе Большого Адронного Коллайдера.
Сферы использования
Учёные не могут наблюдать столкновение, но датчики фиксируют частицы, которые образуются в его результате, их характеристики (массу, энергию и импульс). Доступная информация очень ограничена, но, проведя длительный анализ полученных данных на основе теории столкновений и множество расчётов, учёные делают удивительные выводы об устройстве нашего мира.
Теоретическая основа

При ударе выполняются законы сохранения импульса и момента импульса. Но механическая энергия, как правило, не сохраняется. Она переходит в нагрев, деформацию тел, колебания (в том числе акустические) и другие виды энергии. Но для удобства рассмотрения в физике применяются упрощённые модели. Поэтому используются предельные случаи:
- абсолютно упругий удар, при котором полная кинетическая энергия тел сохраняется;
- абсолютно неупругий, когда тела соединяются в единое целое, затрачивая энергию на неупругую деформацию.
Абсолютно упругий удар
При абсолютно упругих столкновениях механическая энергия системы тел сохраняется. Интуитивным примером может стать соударение бильярдных шаров или отскакивание теннисного мячика от твёрдой поверхности. Столкновения молекул, атомов и элементарных частиц в ряде случаев хорошо подчиняются законам протекания упругого удара, хотя они и взаимодействуют лишь посредством полей, в первую очередь электромагнитных.
Физическая модель
Если взглянуть поближе, то при столкновении тел происходит их небольшая деформация. Её отчётливо можно заметить для теннисного мячика. Для бильярдного шара она очень мала, а в случае с заряженными частицами изменяет свою форму их электрическое поле. Эти случаи объединяет то, что деформация близка к упругой.
Поверхности сжимаются подобно пружинам, запасая энергию на доли секунды. Кинетическая энергия тел переходит в потенциальную энергию упругой деформации. Но потом поверхности снова выпрямляются, отталкивая тела. В результате энергия снова перетекает в кинетическую. Но эти переходы считаются моментальными. Однако, нельзя считать, что энергия сохранилась для каждого тела. Объекты взаимодействуют и совершают работу. Шар, налетев на другой, теряет скорость. Закон сохранения энергии выполняется лишь для системы, которая не получает приращения энергии от тел извне – закрытой системы.

Тем не менее, кинетическая энергия может быть заключена в разных формах движения тела. Нельзя, например, опрометчиво исключать возможность вращения тел и их форму. Но, опять же, в ряде случаев такими свойствами можно пренебречь. Так работает описание разряженного одноатомного газа (атомы, которые перемещаются по сосуду, взаимодействуя лишь упруго с другими атомами и стенками сосуда).
В ряде случаев удобной для применения является модель центрального удара. В этом случае принимается, что тела движутся только вдоль прямой, проходящей через их центры масс. Таким образом, можно рассматривать только одну координату, разместив ось вдоль этой прямой. В первую очередь для изучения физики процесса используется именно эта ситуация ввиду её простоты. В более общем случае тела могут двигаться к месту столкновения под разными углами и сталкиваться не на одной линии с направлением скорости, однако это существенно усложняет математическую модель.
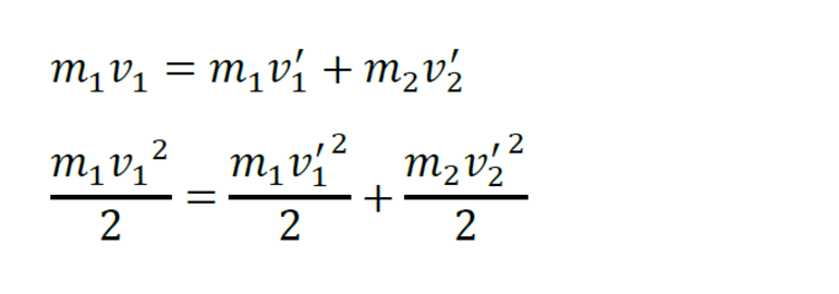
Пусть один шар покоится, а второй налетает на него с некоторой скоростью, направление которой проходит через центр масс второго шара.

Взаимодействие будем считать центральным и абсолютно упругим ударом, формулы для законов сохранения энергии и импульса будут иметь вид:


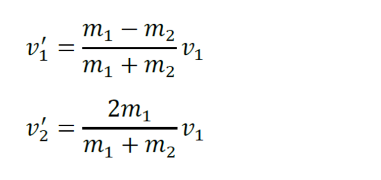
При решении этой системы уравнений получаются выражения для скоростей шаров после столкновения:
Можно заметить, что скорость первого может принимать значения обеих знаков. В данном случае рассматриваются проекции скоростей на ось х, поэтому отрицательная скорость означает направление движения против направления оси, т.е. влево. В то же время скорость второго шара имеет лишь положительные значения. Это подтверждает интуитивное предположение о том, что неподвижный шар при таких условиях может быть оттолкнут первым лишь вправо.
Ещё более упрощённый случай строится, когда массы шаров равны. Тем не менее, он несёт ряд интересных эффектов. Подставив одно значение массы в приведённые выше уравнения, получим:

Выходит, что первый шар полностью останавливается, а второй начинает движение со скоростью, равной начальной скорости первого.
Дело в том, что запасённая потенциальная энергия в равных долях переходит обоим телам (согласно третьему закону Ньютона они отталкиваются с равными силами). Выходит, что первый полностью теряет свою кинетическую энергию, ведь столкновение препятствует его движению. Таким образом, вся энергия переходит второму, который разгоняется в той же мере.
Наглядные эффекты
Упругое столкновение лежит в основе широко распространённой игрушки – маятника Ньютона. Одинаковые стальные шарики подвешиваются на тонких нитках так, что они располагаются очень близко, но в то же время не давят друг на друга, а также исключаются их боковые смещения. Если оттянуть и отпустить один – то происходит ряд упругих столкновений. Дело в том, что между шариками в любом случае имеются хоть небольшие зазоры, ведь это не единое тело.
Первый, оттянутый шарик налетает на второй. Они имеют равные массы и расположены так, что происходит центральный удар. Значит, первый останавливается, а второй продолжает движение со скоростью первого. Но через мельчайшие доли секунды он встречает третий шарик, и соударение повторяется. Волны деформации распространяются по шарам столь быстро и зазоры столь малы, что переход до последнего шара происходит незаметно. В качественном приборе речь идёт менее чем о десятых долях секунды. Последнему шарику не мешают препятствия и, поднявшись на некоторую высоту против силы тяжести, он возвращается назад. Процесс повторяется зеркально.

Но что произойдёт, если оттянуть вместе несколько шариков? Допустим, два. Между ними также образуется минимальный зазор. Второй сначала столкнётся с третьим и остановится, но тут же получит ещё один удар сзади и передаст повторный импульс. На другом конце два последовательных импульса просто последовательно оторвут два шарика. Но временной зазор настолько мал, что они полетят вместе. Ничего не изменится и с тремя шарами, даже если всего их будет пять. Взлетать они будут снова по три штуки.
Есть ещё один неочевидный эффект, который однозначно заслуживает внимания. Если исключить одно упрощение – направление скорости, то получается нецентральный удар. Но всё же остаются допущения о том, что массы шаров равны, а второй изначально неподвижен. Закон сохранения импульса для упругого удара (в векторной форме) устанавливает, что суммарный импульс будет оставаться неизменным. Векторы скоростей после столкновения образуют параллелограмм, ведь будут представлять собой разложение начального вектора. А закон сохранения энергии устанавливает связь между величинами скоростей.

При таких условиях в нём несложно углядеть теорему Пифагора. Исходя из этого можно сделать вывод, что из векторов скоростей образуется прямоугольник. А значит, разлетаться шарики всегда будут под прямым углом. Это не зависит от их параметров, обязательными условиями являются лишь их однородность, равенство масс и нецентральный удар.
Абсолютно неупругий удар
При абсолютно неупругом столкновении тела соединяются и продолжают движение как единое целое. Импульс сохраняется, а вот часть энергии расходуется и уже не переходит обратно в кинетическую энергию движения этих тел. Два кусочка мягкого пластилина, налетев друг на друга, склеятся и полетят вместе дальше. Но речь может идти и о захвате одного объекта другим. Даже состыковку блоков космической станции можно рассматривать как неупругое столкновение.
Силы, действие которых приводит к убыванию механической энергии системы, называются диссипативными. В первую очередь к диссипативным относятся силы трения и сопротивления среды. Они всегда направлены против движения тела. В технике диссипативные силы очень часто представляют собой существенную проблему. Во-первых, они снижают коэффициент полезного действия устройств. Во-вторых, энергия, переходящая в деформации, акустические волны и выделение тепла несут разрушающее действие. Таким образом, во многих ситуациях инженеры пытаются снизить их действие. Как следствие, учёт вклада неупругих столкновений важен.
Баллистический маятник
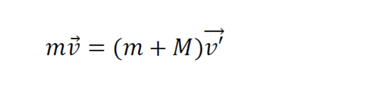
Классическим примером абсолютно неупругого столкновения является баллистический маятник. Ставится мысленный эксперимент: на тонких длинных нитях подвешен ящик с тонкими стенками, наполненный песком. В него попадает горизонтально летящая пуля и застряёт в песке. Дальше они продолжают движение вместе. В рамках данной задачи интерес представляет столкновения, последующие колебания, как правило, не рассматриваются. Хотя их параметры несложно определить, зная размеры подвеса и скорость движения ящика. Очевидно, что удар абсолютно неупругий, формула убыли кинетической энергии системы представляет основной интерес.
Стоит заметить, что формулировки «тонкий», «длинные» несут весьма конкретный смысл. Слово «тонкий» показывает, что влиянием толщины, трения и напряжения в точках крепления можно пренебречь. «Длинные» нити – смещением по вертикали можно пренебречь. Хотя время удара пули настолько мало, что отклонением можно пренебречь вне зависимости от длины нити.

Таким образом, подвес считаем расположенным вертикально, ящик — изначально неподвижным. Сила тяжести направлена вниз, сила натяжения нити – вверх. Импульс сил, действующих на тело во время удара, равен нулю, так как их действие скомпенсировано. Закон сохранения импульса для неупругого удара имеет вид:
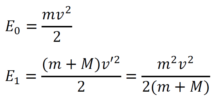
До столкновения ящик неподвижен, учитывается только энергия пули. После – энергия ящика и пули как единого целого. Начальная и конечная кинетические энергии:

Их разность и покажет потери механической энергии:

Потери кинетической энергии не пропадают бесследно, они переходят в нагрев пули и песка, а также образование акустических волн.
Частные случаи
Важные выводы можно сделать, проверив полученные выражения при различных соотношениях масс ящика и пули. При равных массах уйдёт половина энергии. Если масса пули значительно меньше массы ящика – рассеется почти вся. Когда намного больше – потеряется малая часть, массивное подвижное тело будто бы и не заметит мелкого препятствия.
Реальный удар
В реальных условиях столкновения крайне редко являются такими, что их можно считать абсолютно упругими или неупругими. Они находятся где-то между предельными случаями, поэтому рассматриваются как комбинация этих процессов.
Коэффициент восстановления
Вводится коэффициент восстановления, который показывает степень близости к абсолютно упругому удару:
- k=0 – абсолютно неупругий;
- k=1 – абсолютно упругий.
Значения для некоторых материалов
Приведем величины для различных сталкивающихся веществ:
- удар стекла о стекло – 0,94;
- дерево – 0,5;
- сталь о пробку – 0,55;
- слоновая кость – 0,89.
Коэффициент восстановления показывает, какая доля начальной относительной скорости этих тел восстанавливается к концу удара.
Если предположить, что тело ударяется о неподвижную преграду (или тело гораздо большей массы), то коэффициент покажет соотношение между скоростями первого тела до и после столкновения.