Похоже, мы не можем найти то, что вы ищете. Возможно, поиск поможет.
Главная страница 11 класс Литература
Ничего не найдено
Вам также может понравиться
Фразы Фамусова представляют собой высказывания целого
09
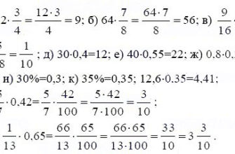
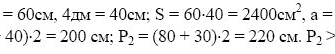
Тип: Учебник Автор: Никольский С.М., Потапов М.
04
Главные герои «Повести о настоящем человеке» Алексей Мересьев.
077
Главные герои Том Сойер – мальчик, который живет в
015
Тип: Рабочая тетрадь, часть 1, 2 Автор: Климанова Л.
013
Вопрос от пользователя: Ермий Определите основные внутренние
011
Тип: Учебник, часть 1, 2 Автор: Дорофеев Г.
012
Вопрос от пользователя: Наля По каким признакам химические
03


