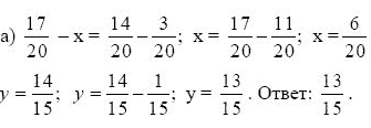
Похоже, мы не можем найти то, что вы ищете. Возможно, поиск поможет.
Главная страница 9 класс Литература
Ничего не найдено
Вам также может понравиться
Тип: Учебник, часть 1, 2 Автор: Дорофеев Г.
010
Тип: Рабочая тетрадь Автор: Биболетова М.
013
Жизнь стариков около моря. Старик поймал рыбу.
052
Вопрос от пользователя: Анна Сколько континентов на земле?
05
Тип: Рабочая тетрадь, часть 1, 2 Автор: Климанова Л.
014
Великий русский поэт, Александр Александрович Блок
03
Как пишется распространённое прилагательное «несгораемый»
054


