Похоже, мы не можем найти то, что вы ищете. Возможно, поиск поможет.
Главная страница 9 класс Биология
Ничего не найдено
Вам также может понравиться
Повесть «Гробовщик» Пушкина была написана в 1830 году
051
В романе И.С. Тургенева наблюдаем за представителями
05
Тип: Учебник, часть 1, 2 Автор: Канакина В.
010
Тип: Учебник, часть 1, 2 Автор: Канакина В.
011
Сочинение: Петр Гринев и Марья Миронова — история любви (по роману А.С. Пушкина «Капитанская дочка»)
В романе «Капитанская дочка» А.С. Пушкин создал интригующую
07
В психиатрическую больницу поступает молодой человек
042
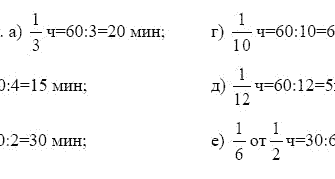
Тип: Учебник Автор: Дорофеев Г.В., Шарыгин И.
017
Тип: Учебник, часть 1, 2 Автор: Канакина В.
05



