Похоже, мы не можем найти то, что вы ищете. Возможно, поиск поможет.
Главная страница 7 класс
Ничего не найдено
Вам также может понравиться
Вопрос от пользователя: Слишком Состав асеан.
013
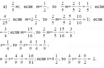
Тип: Учебник, часть 1, 2, 3 Автор: Петерсон Л.
017
Вопрос от пользователя: Фридрих Як називаються організми
09
Тип: Учебник Автор: Виленкин Н.Я., Жохов В.
028
Тип: Учебник Автор: Никольский С.М., Потапов М.
020
Тип: Учебник, часть 1, 2 Автор: Дорофеев Г.
013
Доброта – это, прежде всего, желание безвозмездно совершать
09



